W tym zadaniu musisz wyznaczyć jakie współrzędne ma punkt P który leży na prostej o równaniu y = 2x + 10 i jest najbliżej początku układu współrzędnych.
Odległość rozważanej prostej od początku układu współrzędnych jest najmniejszą odległością punktu należącego do tej prostej od początku układu współrzędnych.
Wszystkie punkty leżące na rozważanej prostej (w tym szukany punkt P) mają współrzędne:
Niech S = (0, 0)
Skoro delta jest mniejsza od zera, to równanie nie ma miejsc zerowych. A ponieważ współczynnik przy x2 jest dodatni, to ramiona paraboli będącej wykresem tej funkcji kwadratowej są skierowane ku górze, to lewa strona musi być dodatnia dla dowolnego x.
Więc współrzędne szukanego punktu P to:
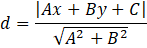
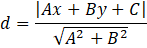
Na początku oblicz w jakiej odległości od początku układu współrzędnych przebiega podana prosta. Otrzymana odległość będzie najmniejszą odległością prostej od początku układu współrzędnych. W tym celu skorzystaj ze wzoru na odległość punktu od prostej. Jednakże we wzorze tym możesz użyć prostej zapisanej w postaci ogólnej, więc musisz równanie podanej prostej zapisać w tej postaci.
Spójrz, jak wygląda postać ogólna równania prostej. Po jednej stronie równania jest 0, zaś po drugie wyrażenia z x, y oraz wyraz wolny. Więc aby sprowadzić podane równania do postaci ogólnej musisz przenieść wszystkie składniki na jedną stronę. Dobrze jest także pozbyć się ewentualnych ułamków, przez przemnożenie obu stron przez ich mianowniki.
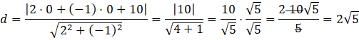
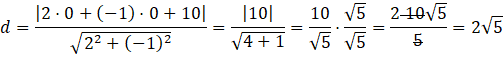
Teraz musisz odczytać wartości współczynników A, B oraz C. Wynoszą one: A = 2, B = -1, C = 10. Oczywiście współrzędne początku układu współrzędnych to (0, 0). Mając te informacje możesz obliczyć szukaną odległość.
Więc musisz znaleźć punkt na prostej y = 2x + 10, którego odległość od początku układu współrzędnych wynosi
Wszystkie punkty leżące na rozważanej prostej (w tym szukany punkt P) mają współrzędne:
Odległość punktu P od początku układu współrzędnych (oznacz go jako S) wyraża się wzorem:
Oczywiście drugi nawias rozpisujesz ze wzoru skróconego mnożenia. Zauważ, że z otrzymanego wyrażenia możesz wyciągnąć 5 przed nawias, a następnie rozbić pierwiastek na iloczyn dwóch pierwiastków.
Ponieważ w otrzymanym wyrażeniu, wyrażenie z x jest pod pierwiastkiem musisz obliczyć dziedzinę.
Odległość |SP| ma wynosić
Ponieważ w otrzymanym równaniu, wyrażenie z x jest pod pierwiastkiem musisz obliczyć dziedzinę równania. Równanie będzie miało sens tylko wtedy, gdy wyrażenie pod pierwiastkiem będzie dodatnie.
Tę nierówność kwadratową rozwiąż po prostu przez znalezienie miejsc zerowych.
Skoro delta jest mniejsza od zera, to równanie nie ma miejsc zerowych. A ponieważ współczynnik przy x2 jest dodatni, to ramiona paraboli będącej wykresem tej funkcji kwadratowej są skierowane ku górze, to lewa strona musi być dodatnia dla dowolnego x.
Po obu stronach występuje pierwiastek, więc podziel obie strony przez ten pierwiastek.
Aby pozbyć się pierwiastka z lewej strony podnieś obie strony do kwadratu.
Zauważ, że lewą stronę możesz „zwinąć” ze wzoru skróconego mnożenia:
Więc współrzędne szukanego punktu P to:
Ćwiczenie B.
11Ćwiczenie C.
12Zadanie 1.
14Zadanie 2.
14Zadanie 6.
14Zadanie 9.
15Zadanie 10.
15Zadanie 12.
15Zadanie 13.
15Zadanie 14.
15Zadanie 16.
15Zadanie 17.
15Ćwiczenie A.
17Ćwiczenie B.
17Przykład 2.
19Zadanie 1.
20Zadanie 2.
20Zadanie 4.
20Zadanie 5.
20Zadanie 7.
20Zadanie 8.
20Zadanie 9.
21Zadanie 10.
21Zadanie 11.
21Zadanie 14.
21Zadanie 15.
21Zadanie 16.
21Zadanie 17.
22Zadanie 1.
26Zadanie 3.
26Zadanie 4.
27Zadanie 6.
27Zadanie 7.
27Zadanie 8.
27Zadanie 9.
27Zadanie 12.
27Ćwiczenie B.
29Zadanie 1.
30Zadanie 3.
30Zadanie 4.
30Zadanie 5.
30Zadanie 6.
30Zadanie 8.
31Zadanie 10.
31Zadanie 11.
31Zadanie 1.
35Zadanie 2.
35Zadanie 4.
36Zadanie 5.
36Zadanie 6.
36Zadanie 7.
36Zadanie 8.
36Zadanie 11.
36Zadanie 12.
36Zadanie 14.
37Zadanie 1.
38Zadanie 11.
38Zadanie 12.
38