W tym zadaniu musisz obliczyć jakie współrzędne ma czwarty wierzchołek równoległoboku, w którym jedna z przekątnych to odcinek łączący punkty o współrzędnych (-17, 3) i (17, -3), zaś współrzędne trzeciego wierzchołku wynoszą (30, 75).
Więc:
Odp.: D. (-30, -75)
Zauważ, że przekątna, to odcinek łączący dwa przeciwległe wierzchołki równoległoboku. Więc dwa wierzchołki tego równoległoboku (oznacz go sobie jako ABCD) wynoszą A = (-17, 3) oraz B = (17, -3) (warto sobie oznaczyć te punkty literami). Pamiętaj również o tym, że przekątne w równoległoboku przecinają się dokładnie w połowie. Oznacza to, że środek odcinka AB to także środek odcinka CD (niech C = (30, 75), a szukany wierzchołek oznacz jako D).
Współrzędne środka odcinka łączącego wierzchołki A i B możesz policzyć ze wzoru:
Więc:
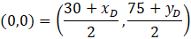
Następnie zapisz współrzędne środka odcinka łączącego punkty C i D przy pomocy wzoru i przyrównaj do wyliczonego punktu przecięcia się przekątnych:
Przyrównaj do siebie każdą współrzędną
Ćwiczenie B.
11Ćwiczenie C.
12Zadanie 1.
14Zadanie 2.
14Zadanie 6.
14Zadanie 9.
15Zadanie 10.
15Zadanie 12.
15Zadanie 13.
15Zadanie 14.
15Zadanie 16.
15Zadanie 17.
15Ćwiczenie A.
17Ćwiczenie B.
17Przykład 2.
19Zadanie 1.
20Zadanie 2.
20Zadanie 4.
20Zadanie 5.
20Zadanie 7.
20Zadanie 8.
20Zadanie 9.
21Zadanie 10.
21Zadanie 11.
21Zadanie 14.
21Zadanie 15.
21Zadanie 16.
21Zadanie 17.
22Zadanie 1.
26Zadanie 3.
26Zadanie 4.
27Zadanie 6.
27Zadanie 7.
27Zadanie 8.
27Zadanie 9.
27Zadanie 12.
27Ćwiczenie B.
29Zadanie 1.
30Zadanie 3.
30Zadanie 4.
30Zadanie 5.
30Zadanie 6.
30Zadanie 8.
31Zadanie 10.
31Zadanie 11.
31Zadanie 1.
35Zadanie 2.
35Zadanie 4.
36Zadanie 5.
36Zadanie 6.
36Zadanie 7.
36Zadanie 8.
36Zadanie 11.
36Zadanie 12.
36Zadanie 14.
37Zadanie 1.
38Zadanie 11.
38Zadanie 12.
38