W tym zadaniu trzeba ustalić jakie równanie będzie miała prosta równoległa do prostej y = 2x oraz styczna z okręgiem opisanym równaniem: x2 + y2 = 6.
k – szukana prosta
l – prosta podana w treści zadania
Ponieważ prosta styczna do okręgu ma tylko jeden punkt wspólny z tym okręgiem, więc powyższe równanie musi mieć jedno rozwiązanie. Ponieważ jest to równanie kwadratowe, to jedno rozwiązanie ma wtedy i tylko wtedy, gdy:
Równania prostych równoległych do prostej podanej w treści zadania i stycznych do podanego okręgu to:
Współczynniki kierunkowe prostych równoległych do siebie są takie same, więc współczynnik kierunkowy szukanej prostej będzie wynosił 2 (gdyż tyle wynosi podanej prostej). Możesz zapisać, że szukana prosta jest zadana równaniem (oznacz ją jako k):
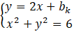
Punkt styczności będzie należał zarówno do szukanej prostej, jak i do podanego okręgu. Więc jego współrzędne będą spełniań oba równania na raz. Jednakże, równanie takie musi mieć jedno rozwiązane, gdyż dla jednej prostej stycznej do okręgu, jest tylko jeden punkt, który należy do obu. Gdyby były dwa takie punkty, to prosta przecinałaby okrąg, a nie byłaby styczna. Zapisz oba równania jako układ równań:
Zauważ, że z równania prostej masz od razu wyznaczoną zmienną y w zależności od x oraz bk. Aby uzyskać równanie z jedną zmienną wystarczy, że do równania okręgu za y podstawisz równanie prostej.
Nawias wylicz ze wzoru skróconego mnożenia
A następnie uprość wyrażenie i przenieś wszystkie składniki na jedną stronę. Warto także zapisać to jako równanie ze względu na x, a więc uporządkuj je tak, by wszystkie składniki z x były obok siebie.
Zauważ, że otrzymałeś równanie kwadratowe ze względu na x. Równanie to powinno mieć tylko jedno rozwiązanie (jedną wartość x będącego pierwszą współrzędną punktu styczności). Równanie kwadratowe ma jedno rozwiązanie tylko wtedy, gdy Δ = 0. Więc musisz obliczyć Δ i przyrównać ją do zera.
Dostałeś kolejne równanie kwadratowe. Pamiętaj, że jest to osobne równanie niż to które dostałeś z układu równań. Tam, było to równanie ze względu na x i jego rozwiązaniem była jakaś wartość x (czyli pierwszej współrzędnej punktu styczności). Natomiast tutaj zmienną jest bk i wynikiem będzie wartość właśnie tego współczynnika. Aby otrzymać wynik wystarczy, że rozwiążesz to równanie kwadratowe, przez przeniesienie wyrazu wolnego na drugą stronę.
Oczywiście musisz pamiętać, że gdy pierwiastkujesz obie strony równania musisz rozważyć dwa przypadki.
Otrzymałeś dwie wartości współczynnika bk, co oznacza, że istnieją dwie proste styczne do podanego okręgu i równoległe do podanej w treści zadania prostej. Znając współczynnik bk możesz zapisać ich równania.
Ćwiczenie B.
11Ćwiczenie C.
12Zadanie 1.
14Zadanie 2.
14Zadanie 6.
14Zadanie 9.
15Zadanie 10.
15Zadanie 12.
15Zadanie 13.
15Zadanie 14.
15Zadanie 16.
15Zadanie 17.
15Ćwiczenie A.
17Ćwiczenie B.
17Przykład 2.
19Zadanie 1.
20Zadanie 2.
20Zadanie 4.
20Zadanie 5.
20Zadanie 7.
20Zadanie 8.
20Zadanie 9.
21Zadanie 10.
21Zadanie 11.
21Zadanie 14.
21Zadanie 15.
21Zadanie 16.
21Zadanie 17.
22Zadanie 1.
26Zadanie 3.
26Zadanie 4.
27Zadanie 6.
27Zadanie 7.
27Zadanie 8.
27Zadanie 9.
27Zadanie 12.
27Ćwiczenie B.
29Zadanie 1.
30Zadanie 3.
30Zadanie 4.
30Zadanie 5.
30Zadanie 6.
30Zadanie 8.
31Zadanie 10.
31Zadanie 11.
31Zadanie 1.
35Zadanie 2.
35Zadanie 4.
36Zadanie 5.
36Zadanie 6.
36Zadanie 7.
36Zadanie 8.
36Zadanie 11.
36Zadanie 12.
36Zadanie 14.
37Zadanie 1.
38Zadanie 11.
38Zadanie 12.
38