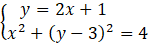
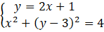
W tym zadaniu musisz określić długość cięciwy wyciętej z prostej zadanej równaniem y = 2x + 1 przez koło o promieniu 2 i środku w punkcie S = (0, 3).
Równanie okręgu będącego krawędzią opisanego koła:
Więc punkty przecięcia rozważanej prostej i okręgu to:
Szukana długość cięciwy to odległość między tymi dwoma punktami:
Odp.: C.
Aby wyznaczyć długość szukanej cięciwy najpierw musisz wyznaczyć punkty przecięcia się prostej zawierającej tę cięciwę z okręgiem, a następnie wyliczyć odległość między tymi punktami.
Najpierw jednak musisz zapisać równanie opisujące okrąg będący krawędzią tego koła. Podstaw współrzędne środka tego koła oraz jego promień do równania okręgu.
Współrzędne punktów przecięcia podanej prostej z okręgiem będą spełniać układ równań składający się z równań podanej prostej i okręgu. Mają być to punkty, które jednocześnie należą do tej prostej i okręgu, więc muszą spełniać równania je opisujące na raz.
Zauważ, że z równania prostej masz od razu wyznaczoną zmienną y w zależności od x. Aby uzyskać równanie z jedną zmienną wystarczy, że do równania okręgu za y podstawisz równanie prostej.
Aby rozpisać nawias użyjesz wzoru skróconego mnożenia.
A następnie uprość wyrażenie i przenieś wszystkie składniki na jedną stronę.
Otrzymałeś równanie kwadratowe. Zauważ, że możesz je rozwiązać przez wyciągnięcie x przed nawias.
Jeśli iloczyn daje zero, to któryś z jego składników jest zerem:
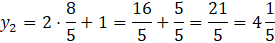
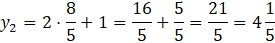
Teraz aby otrzymać drugie współrzędne tych punktów musisz podstawić otrzymane liczby do któregokolwiek równania. Oczywiście łatwiej jest wyliczyć y z równania prostej.
Więc punkty przecięcia rozważanej prostej i okręgu to:
Szukana długość cięciwy to po prostu odległość między tymi dwoma punktami:
Ćwiczenie B.
11Ćwiczenie C.
12Zadanie 1.
14Zadanie 2.
14Zadanie 6.
14Zadanie 9.
15Zadanie 10.
15Zadanie 12.
15Zadanie 13.
15Zadanie 14.
15Zadanie 16.
15Zadanie 17.
15Ćwiczenie A.
17Ćwiczenie B.
17Przykład 2.
19Zadanie 1.
20Zadanie 2.
20Zadanie 4.
20Zadanie 5.
20Zadanie 7.
20Zadanie 8.
20Zadanie 9.
21Zadanie 10.
21Zadanie 11.
21Zadanie 14.
21Zadanie 15.
21Zadanie 16.
21Zadanie 17.
22Zadanie 1.
26Zadanie 3.
26Zadanie 4.
27Zadanie 6.
27Zadanie 7.
27Zadanie 8.
27Zadanie 9.
27Zadanie 12.
27Ćwiczenie B.
29Zadanie 1.
30Zadanie 3.
30Zadanie 4.
30Zadanie 5.
30Zadanie 6.
30Zadanie 8.
31Zadanie 10.
31Zadanie 11.
31Zadanie 1.
35Zadanie 2.
35Zadanie 4.
36Zadanie 5.
36Zadanie 6.
36Zadanie 7.
36Zadanie 8.
36Zadanie 11.
36Zadanie 12.
36Zadanie 14.
37Zadanie 1.
38Zadanie 11.
38Zadanie 12.
38