W tym zadaniu musisz wyznaczyć równanie, które opisuje prostą będącą styczną do okręgu zadanego równaniem (x + 2)2 + (y – 3)2 = 5 w punkcie (-1, 1).
Skoro prosta jest styczna do okręgu, w punkcie (-1, 1), to ta prosta jest prostopadła do promienia łączącego ten punkt ze środkiem okręgu. To oznacza, że jest także prostopadła do prostej, która przechodzi przez środek okręgu oraz punkt (-1, 1).
Współrzędne środka okręgu: S = (-2, 3).
k – szukana prosta
l – prosta przechodząca przez środek okręgu i punkt (-1, 1)
Skoro prosta jest styczna do okręgu, w punkcie (-1, 1), to ta prosta jest prostopadła do promienia łączącego ten punkt ze środkiem okręgu. To oznacza, że jest także prostopadła do prostej, która przechodzi przez środek okręgu oraz punkt (-1, 1).
Współrzędne środka tego okręgu możesz odczytać z równania okręgu. Wynoszą one: S = (-2, 3).
Współczynnik kierunkowy szukanej prostej (oznacz ją jako k), będzie wyrażony wzorem:
Gdzie al to współczynnik kierunkowy prostej przechodzącej przez środek okręgu i punkt (-1, 1). Wzór ten oczywiście wynika z tego, że proste k i l są do siebie prostopadłe.
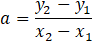
Aby obliczyć współczynnik kierunkowy prostej l skorzystaj z wzoru na współczynnik kierunkowy prostej przechodzącej przez punkty (x1, y1) oraz (x2, y2).
Podstawiając odpowiednio współrzędne środka okręgu i podanego w treści zadania punktu otrzymasz wynik:
Pamiętaj, że co prawda kolejność uwzględnianych punktów jest dowolna, ale musi być taka sama dla x-ów i y-ów. Więc jeśli przyjmiesz, że punktem o współrzędnych (x2, y2) jest podany punkt, to musisz konsekwentnie podstawiać za y2 i x2 współrzędne punktu podanego.
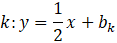
Współczynnik kierunkowy prostej k wynosi:
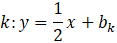
Więc równanie prostej k w postaci kierunkowej można zapisać jako:
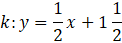
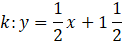
Prosta k przechodzi, przez podany punkt, więc podstawiając do równania kierunkowego prostej k za x pierwszą współrzędną tego punktu, powinieneś otrzymać w wyniku drugą współrzędną.
Więc równanie prostej k będącej prostą styczną do rozważanego okręgu w punkcie (-1, 1) można zapisać jako:
Ćwiczenie B.
11Ćwiczenie C.
12Zadanie 1.
14Zadanie 2.
14Zadanie 6.
14Zadanie 9.
15Zadanie 10.
15Zadanie 12.
15Zadanie 13.
15Zadanie 14.
15Zadanie 16.
15Zadanie 17.
15Ćwiczenie A.
17Ćwiczenie B.
17Przykład 2.
19Zadanie 1.
20Zadanie 2.
20Zadanie 4.
20Zadanie 5.
20Zadanie 7.
20Zadanie 8.
20Zadanie 9.
21Zadanie 10.
21Zadanie 11.
21Zadanie 14.
21Zadanie 15.
21Zadanie 16.
21Zadanie 17.
22Zadanie 1.
26Zadanie 3.
26Zadanie 4.
27Zadanie 6.
27Zadanie 7.
27Zadanie 8.
27Zadanie 9.
27Zadanie 12.
27Ćwiczenie B.
29Zadanie 1.
30Zadanie 3.
30Zadanie 4.
30Zadanie 5.
30Zadanie 6.
30Zadanie 8.
31Zadanie 10.
31Zadanie 11.
31Zadanie 1.
35Zadanie 2.
35Zadanie 4.
36Zadanie 5.
36Zadanie 6.
36Zadanie 7.
36Zadanie 8.
36Zadanie 11.
36Zadanie 12.
36Zadanie 14.
37Zadanie 1.
38Zadanie 11.
38Zadanie 12.
38