W tym zadaniu musisz wyliczyć, ile powinna wynosić wartość t, aby punkty A = (2, -1), B = (-3, 4), C = (t, 3t + 2) znajdowały się na tej samej prostej.
Można jednoznacznie wyznaczyć równanie prostej AB.
Zauważ, że zmienna t pojawia się jedynie we współrzędnych punktu C. Więc możesz jednoznacznie wyznaczyć prostą która przechodzi przez punkty A i B, a następnie tak ustalić t, by punkt C także należał do tej prostej.
W pierwszej kolejności przy wyznaczaniu prostej AB musisz się upewnić, czy równanie tej prostej da się zapisać w postaci kierunkowej. Punkty A i B mają różne pierwsze współrzędne, więc nie leżą na prostej prostopadłej do osi x (nie da się przeprowadzić takiej prostej przez nie). Prosta ta w postaci kierunkowej wygląda następująco:
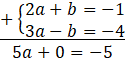
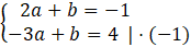
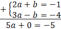
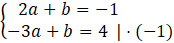
Ponieważ masz dwie niewiadome, to aby je znaleźć potrzebujesz rozwiązać układ dwóch równań. Aby ustalić te dwa równania przypomnij sobie, że prosta to zbiór punktów które spełniają określony w równaniu prostej warunek. Więc jeśli podstawisz odpowiednio za x wartość pierwszej współrzędnej, a za y wartość drugiej, to otrzymasz prawdziwą zależność. Podane masz dwa punkty, więc takie zależności możesz zapisać dla każdego z nich.
Ten układ równań najszybciej rozwiążesz z metody przeciwnych współczynników. Zauważ, że aby po dodaniu stronami skrócił się b, to wystarczy przemnożyć drugie równanie (lub pierwsze) przez -1.
Aby wyliczyć b wystarczy, że podstawisz otrzymany wynik do któregoś ze wzorów.
Aby zapisać równanie prostej AB w postaci kierunkowej, podstaw otrzymane wyniki za a i b.
Teraz musisz tak ustalić wartość t, aby punkt C leży na prostej AB. Aby to zrobić wystarczy, że do równania tej prostej podstawisz wartość pierwszej współrzędnej za x (gdyż pierwsza współrzędna „odpowiada” za x), oraz wartość drugiej współrzędnej za y (gdyż druga współrzędna „odpowiada” za y). Otrzymasz równanie, z t które musisz rozwiązać.
Ćwiczenie B.
11Ćwiczenie C.
12Zadanie 1.
14Zadanie 2.
14Zadanie 6.
14Zadanie 9.
15Zadanie 10.
15Zadanie 12.
15Zadanie 13.
15Zadanie 14.
15Zadanie 16.
15Zadanie 17.
15Ćwiczenie A.
17Ćwiczenie B.
17Przykład 2.
19Zadanie 1.
20Zadanie 2.
20Zadanie 4.
20Zadanie 5.
20Zadanie 7.
20Zadanie 8.
20Zadanie 9.
21Zadanie 10.
21Zadanie 11.
21Zadanie 14.
21Zadanie 15.
21Zadanie 16.
21Zadanie 17.
22Zadanie 1.
26Zadanie 3.
26Zadanie 4.
27Zadanie 6.
27Zadanie 7.
27Zadanie 8.
27Zadanie 9.
27Zadanie 12.
27Ćwiczenie B.
29Zadanie 1.
30Zadanie 3.
30Zadanie 4.
30Zadanie 5.
30Zadanie 6.
30Zadanie 8.
31Zadanie 10.
31Zadanie 11.
31Zadanie 1.
35Zadanie 2.
35Zadanie 4.
36Zadanie 5.
36Zadanie 6.
36Zadanie 7.
36Zadanie 8.
36Zadanie 11.
36Zadanie 12.
36Zadanie 14.
37Zadanie 1.
38Zadanie 11.
38Zadanie 12.
38