Pole tego równoległoboku:
Gdzie a to długość boku, zaś ha to wysokość opuszczona na ten bok.
Długość jednej z wysokości to odległość punktu P od prostej y = x. Ponieważ długości naprzeciwległych boków są sobie równe, to długość boku, na który opada ta wysokość to |AB| lub |PC|. Jednakże w |PC| znamy jeden z punktów końcowych, czyli P.
Wyznaczanie wysokości opuszczonej z punktu P.
Punkt C znajduje się na przecięciu prostej o równaniu
Szukana prosta, będzie miała taki sam współczynnik kierunkowy, jak prosta y = x, czyli 1. Więc jej równanie w postaci kierunkowej to będzie:
Punkt P należy do szukanej prostej
Wyznaczanie współrzędnych punktu C:
Więc:
Obliczanie długości boku |PC|:
Pole tego równoległoboku to:
Aby zrozumieć co należy obliczyć warto wykonać rysunek orientacyjny. Zauważ, że punkt P nie leży na żadnej z dwóch prostych (gdyby leżał na prostej y = x, to obie współrzędne byłyby równe, zaś dla x = 3 punkt leżący na drugiej prostej ma współrzędne (3; 2,5), co możesz sprawdzić podstawiając x do równania drugiej prostej). Oznacza to, że z wierzchołka P wychodzą dwa sąsiednie boki tego równoległoboku, które nie leżą na podanych prostych. Oznacza to, że boki leżące na prostych, są sąsiadujące, więc wierzchołkiem, z którego one wychodzą musi być punkt przecięcia się prostych z treści zadania.
Na rysunku zaznaczono także proste równoległe do podanych prostych i przechodzące przez punkt P, gdyż pamiętaj, że równoległobok, to czworokąt, którego obie pary są do siebie równoległe.
Aby obliczyć pole tego równoległoboku skorzystaj ze wzoru na pole równoległoboku.
Gdzie a to długość boku, zaś ha to wysokość opuszczona na ten bok.
Łatwiej będzie wyliczyć wysokość opuszczoną z punktu P, gdyż to będzie po prostu odległość punktu P od prostej zadanej równaniem y = x. Potrzebujesz długość boku. Ponieważ długości naprzeciwległych boków są sobie równe, to możesz obliczyć długość boku |AB| lub |PC|. Zauważ, że w boku |PC| znasz już współrzędną punktu P, i jedynie będziesz musiał wyliczyć współrzędną punktu C.
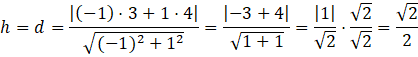
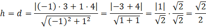
Aby obliczyć odległość punktu P od prostej y = x, czyli wysokość opuszczoną z wierzchołka P musisz skorzystać ze wzoru na odległość punktu o współrzędnych (x0, y0) od prostej o równaniu Ax + By + C = 0. Wzór ten to:
Jednakże prosta która jest podana jest w postaci kierunkowej, więc musisz zamienić jej równanie na postać ogólną.
Spójrz, jak wygląda postać ogólna równania prostej. Po jednej stronie równania jest 0, zaś po drugie wyrażenia z x, y oraz wyraz wolny. Więc aby sprowadzić podane równania do postaci ogólnej musisz przenieść wszystkie składniki na jedną stronę. Dobrze jest także pozbyć się ewentualnych ułamków, przez przemnożenie obu stron przez ich mianowniki.
Teraz wystarczy, że odczytasz poszczególne współczynniki z równania, i podstawisz je do wzoru, razem z współrzędnymi punktu P.
Oczywiście, ponieważ w mianowniku pojawił się pierwiastek, musisz usunąć niewymierność z mianownika, przez przemnożenie zarówno licznika jak i mianownika przez ten pierwiastek.
Punkt C znajduje się na przecięciu prostej o równaniu
Szukana prosta, będzie miała taki sam współczynnik kierunkowy, jak prosta y = x, czyli 1. Więc jej równanie w postaci kierunkowej to będzie:
Ponieważ punkt P, należy do szukanej prostej, to podstawiając za x pierwszą współrzędną punktu P, powinieneś otrzymać drugą współrzędną P.
Więc szukana prosta ma równanie:
Aby odnaleźć punkt przecięcia się dwóch prostych, a więc punkt C, musisz przyrównać do siebie oba równania (gdyż proste osiągają w tym punkcie takie same wartości)
Aby wyznaczyć drugą współrzędną musisz podstawić otrzymany wynik do równania którejkolwiek prostej.
Więc punkt C ma współrzędne:
Aby obliczyć długość boku |PC|, skorzystaj ze wzoru na długość odcinka.
Podstawiając do wzoru na pole równoległoboku otrzymasz końcowy wynik.