W tym zadaniu musisz wyznaczyć równania prostej w postaci kierunkowej i ogólnej, takiej, że ta prosta przechodzi przez punkty
W pierwszej kolejności musisz się upewnić, czy równanie prostej AB da się zapisać w postaci kierunkowej. Punkty A i B mają różne pierwsze współrzędne, więc nie leżą na prostej prostopadłej do osi x (nie da się przeprowadzić takiej prostej przez nie). Więc prostą AB można zapisać w postaci kierunkowej:
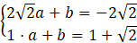
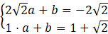
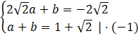
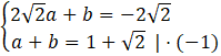
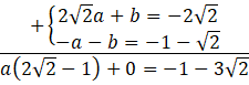
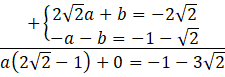
Ponieważ masz dwie niewiadome, to aby je znaleźć potrzebujesz rozwiązać układ dwóch równań. Aby ustalić te dwa równania przypomnij sobie, że prosta to zbiór punktów które spełniają określony w równaniu prostej warunek. Więc jeśli podstawisz odpowiednio za x wartość pierwszej współrzędnej, a za y wartość drugiej, to otrzymasz prawdziwą zależność. Podane masz dwa punkty, więc takie zależności możesz zapisać dla każdego z nich.
Ten układ równań najszybciej rozwiążesz z metody przeciwnych współczynników. Zauważ, że aby po dodaniu stronami skrócił się b, to wystarczy przemnożyć drugie równanie (lub pierwsze) przez -1.
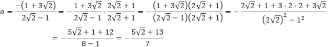
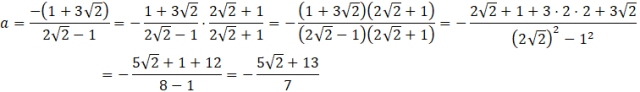
Oczywiście z racji tego, iż w mianowniku znajdowało się wyrażenie z pierwiastkiem należało usunąć niewymierność z mianownika. Robisz to przez przemnożenie licznika i mianownika przez to samo wyrażenie co w mianowniku, jednakże ze zmienionym znakiem pomiędzy liczbami. Robisz to po to, aby w mianowniku móc skorzystać ze wzoru skróconego mnożenia który wyeliminuje wszelkie pierwiastki z mianownika.
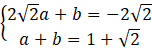
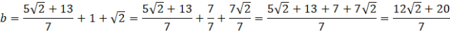
Aby wyliczyć b wystarczy, że podstawisz otrzymany wynik do któregoś ze wzorów.
Teraz sprowadź wszystkie składniki do wspólnego mianownika:
Aby zapisać równanie prostej AB w postaci kierunkowej, podstaw otrzymane wyniki za a i b.
Aby uzyskać równanie w postaci ogólnej, wystarczy, że przeniesiesz y na drugą stronę i przemnożysz przez minus, aby pozbyć się minusów stojących przy większości wyrazów oraz przez 7, aby pozbyć się ułamka.
Ćwiczenie B.
11Ćwiczenie C.
12Zadanie 1.
14Zadanie 2.
14Zadanie 6.
14Zadanie 9.
15Zadanie 10.
15Zadanie 12.
15Zadanie 13.
15Zadanie 14.
15Zadanie 16.
15Zadanie 17.
15Ćwiczenie A.
17Ćwiczenie B.
17Przykład 2.
19Zadanie 1.
20Zadanie 2.
20Zadanie 4.
20Zadanie 5.
20Zadanie 7.
20Zadanie 8.
20Zadanie 9.
21Zadanie 10.
21Zadanie 11.
21Zadanie 14.
21Zadanie 15.
21Zadanie 16.
21Zadanie 17.
22Zadanie 1.
26Zadanie 3.
26Zadanie 4.
27Zadanie 6.
27Zadanie 7.
27Zadanie 8.
27Zadanie 9.
27Zadanie 12.
27Ćwiczenie B.
29Zadanie 1.
30Zadanie 3.
30Zadanie 4.
30Zadanie 5.
30Zadanie 6.
30Zadanie 8.
31Zadanie 10.
31Zadanie 11.
31Zadanie 1.
35Zadanie 2.
35Zadanie 4.
36Zadanie 5.
36Zadanie 6.
36Zadanie 7.
36Zadanie 8.
36Zadanie 11.
36Zadanie 12.
36Zadanie 14.
37Zadanie 1.
38Zadanie 11.
38Zadanie 12.
38