W tym zadaniu trzeba wyznaczyć równanie opisujące okrąg, w którym średnica jest wyznaczona przez odcinek łączący punkty (-8, -2) oraz (-5, 3).
Środek odcinka będącego średnicą jest środkiem tego okręgu.
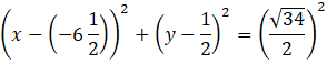
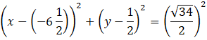
Równanie okręgu w postaci kanonicznej ma postać:
Gdzie współrzędne środka tego okręgu to S = (a, b), zaś promień to r. Więc aby zapisać równanie okręgu o podanych parametrach musisz znaleźć współrzędne środka tego okręgu oraz długość promienia.
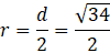
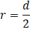
Promień okręgu to połowa średnicy. Więc aby obliczyć promień tego okręgu, musisz obliczyć długość średnicy, czyli po prostu długość odcinka łączącego te dwa punkty.
Aby obliczyć promień musisz podzielić otrzymany wynik przez 2.
Zauważ, że punkt leżący dokładnie pośrodku średnicy okręgu to jego środek. Więc aby wyznaczyć współrzędne środka okręgu wystarczy, że wyznaczysz współrzędne środka odcinka będącego średnicą. Skorzystaj ze wzoru na środek odcinka łączącego dwa punkty.
Mając współrzędne środka okręgu oraz długość jego promienia, możesz podać równanie okręgu, przez podstawienie odpowiednio współrzędnych i promienia.
Ćwiczenie B.
11Ćwiczenie C.
12Zadanie 1.
14Zadanie 2.
14Zadanie 6.
14Zadanie 9.
15Zadanie 10.
15Zadanie 12.
15Zadanie 13.
15Zadanie 14.
15Zadanie 16.
15Zadanie 17.
15Ćwiczenie A.
17Ćwiczenie B.
17Przykład 2.
19Zadanie 1.
20Zadanie 2.
20Zadanie 4.
20Zadanie 5.
20Zadanie 7.
20Zadanie 8.
20Zadanie 9.
21Zadanie 10.
21Zadanie 11.
21Zadanie 14.
21Zadanie 15.
21Zadanie 16.
21Zadanie 17.
22Zadanie 1.
26Zadanie 3.
26Zadanie 4.
27Zadanie 6.
27Zadanie 7.
27Zadanie 8.
27Zadanie 9.
27Zadanie 12.
27Ćwiczenie B.
29Zadanie 1.
30Zadanie 3.
30Zadanie 4.
30Zadanie 5.
30Zadanie 6.
30Zadanie 8.
31Zadanie 10.
31Zadanie 11.
31Zadanie 1.
35Zadanie 2.
35Zadanie 4.
36Zadanie 5.
36Zadanie 6.
36Zadanie 7.
36Zadanie 8.
36Zadanie 11.
36Zadanie 12.
36Zadanie 14.
37Zadanie 1.
38Zadanie 11.
38Zadanie 12.
38