W tym zadaniu trzeba obliczyć w jakiej odległości punkt P o współrzędnych (0, 2) znajduje się od prostej o równaniu 2x + y + 5 = 0
A więc prosta l wyraża się wzorem:
Więc współrzędne punktu R to:
Odległość punktu P od prostej k, to po prostu długość odcinka PR.
Warto w tego typu zadaniach narysować rysunek pomocniczy. Oczywiście nie będzie on dokładny, ma on służyć zilustrowaniu problemu i określeniu co musisz szukać. Ponieważ współrzędne punktu są proste do zaznaczenia to zaznacz je oraz zaznacz prostą (orientacyjnie) do której będziesz szukał odległość oraz a także prostą prostopadłą do niej przechodzącą przez punkt P i punkt przecięcia się tych prostych R.
Warto sobie oznaczyć prostą z zadania np. jako k. Bardziej w tej sytuacji przydana będzie postać kierunkowa równania prostej k. Spójrz, jak wygląda postać kierunkowa równania prostej. Po jednej stronie równania jest zawsze y, zaś po drugiej wyrażenie z x i wyraz wolny. Oczywiście współczynnik stojący przy x może wynosić 0, wtedy nie zapisuje się go i po drugiej stronie stoi jedynie wyraz wolny. Więc aby zapisać równanie w postaci kierunkowej musisz przenieść y na jedną stronę tak by był jedynym wyrażeniem z tej strony, a następnie ewentualnie pozbyć się liczby stojącej przy y.
Teraz musisz znaleźć równanie prostej prostopadłej do k i przechodzącej przez punkt P, którą oznacz sobie np. jako l. Jest to prosta prostopadła do prostej k, więc jej współczynnik kierunkowy wynosi:
Prosta l przechodzi, przez punkt P, więc podstawiając do równania kierunkowego prostej l za x pierwszą współrzędną P, powinieneś otrzymać w wyniku drugą współrzędną.
A więc prosta l wyraża się wzorem:
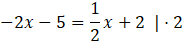
Następnie musisz wyznaczyć współrzędne punktu przecięcia się tych prostych, czyli R. W punkcie przecięcia się, obie proste mają tę samą wartość, więc wystarczy przyrównać ich równania kierunkowe do siebie.
Warto pomnożyć obie strony przez 2, aby pozbyć się ułamków.
Aby obliczyć drugą współrzędną wystarczy podstawić otrzymaną wartość do któregokolwiek równania prostej.
Więc współrzędne punktu R to:
Zauważ, że odległość punktu P od prostej k, to po prostu długość odcinka PR. Długość tę obliczysz z odpowiedniego wzoru:
Ćwiczenie B.
11Ćwiczenie C.
12Zadanie 1.
14Zadanie 2.
14Zadanie 6.
14Zadanie 9.
15Zadanie 10.
15Zadanie 12.
15Zadanie 13.
15Zadanie 14.
15Zadanie 16.
15Zadanie 17.
15Ćwiczenie A.
17Ćwiczenie B.
17Przykład 2.
19Zadanie 1.
20Zadanie 2.
20Zadanie 4.
20Zadanie 5.
20Zadanie 7.
20Zadanie 8.
20Zadanie 9.
21Zadanie 10.
21Zadanie 11.
21Zadanie 14.
21Zadanie 15.
21Zadanie 16.
21Zadanie 17.
22Zadanie 1.
26Zadanie 3.
26Zadanie 4.
27Zadanie 6.
27Zadanie 7.
27Zadanie 8.
27Zadanie 9.
27Zadanie 12.
27Ćwiczenie B.
29Zadanie 1.
30Zadanie 3.
30Zadanie 4.
30Zadanie 5.
30Zadanie 6.
30Zadanie 8.
31Zadanie 10.
31Zadanie 11.
31Zadanie 1.
35Zadanie 2.
35Zadanie 4.
36Zadanie 5.
36Zadanie 6.
36Zadanie 7.
36Zadanie 8.
36Zadanie 11.
36Zadanie 12.
36Zadanie 14.
37Zadanie 1.
38Zadanie 11.
38Zadanie 12.
38