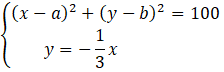
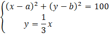
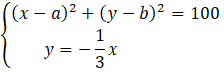
Równanie szukanego okręgu:
Gdzie a i b to współrzędne środka tego okręgu.
Ponieważ prosta styczna do okręgu ma tylko jeden punkt wspólny z tym okręgiem, więc powyższe równanie musi mieć jedno rozwiązanie. Ponieważ jest to równanie kwadratowe, to jedno rozwiązanie ma wtedy i tylko wtedy, gdy:
Ponieważ prosta styczna do okręgu ma tylko jeden punkt wspólny z tym okręgiem, więc powyższe równanie musi mieć jedno rozwiązanie. Ponieważ jest to równanie kwadratowe, to jedno rozwiązanie ma wtedy i tylko wtedy, gdy:
Zestawiając ze sobą otrzymane dwie zależności między a i b:
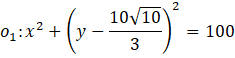
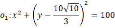
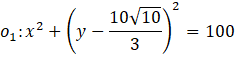
Dla a = 0
Równania okręgu stycznego do obu prostych dla tego przypadku mają postać:
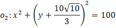
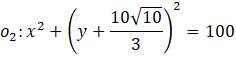
Dla b = 0
Równania okręgu stycznego do obu prostych dla tego przypadku mają postać:
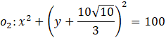
Więc okręgi o promieniu 10 styczne do rozważanych prostych mają równania:
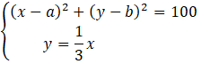
Równanie szukanego okręgu możesz zapisać jako:
Gdzie a i b to współrzędne środka tego okręgu.
Punkt styczności danej prostej będzie należał zarówno do tej prostej, jak i do szukanego okręgu. Więc jego współrzędne będą spełniań oba równania na raz (danej prostej i szukanego okręgu). Jednakże, równanie takie musi mieć jedno rozwiązane, gdyż dla jednej prostej stycznej do okręgu, jest tylko jeden punkt, który należy do obu. Gdyby były dwa takie punkty, to prosta przecinałaby okrąg, a nie byłaby styczna. Zapisz oba równania jako układ równań (możesz użyć dowolnego z dwóch podanych równań):
Zauważ, że z równania prostej masz od razu wyznaczoną zmienną y w zależności od x. Podstaw za y równanie prostej.
Nawiasy wylicz ze wzorów skróconego mnożenia
Przemnóż obie strony równania przez wspólny mianownik, aby pozbyć się pierwiastków.
A następnie uprość wyrażenie i przenieś wszystkie składniki na jedną stronę. Warto także zapisać to jako równanie ze względu na x, a więc uporządkuj je tak, by wszystkie składniki z x były obok siebie.
A następnie wyciągnij x z tych składników.
Zauważ, że otrzymałeś równanie kwadratowe ze względu na x. Równanie to powinno mieć tylko jedno rozwiązanie (jedną wartość x będącego pierwszą współrzędną punktu styczności). Równanie kwadratowe ma jedno rozwiązanie tylko wtedy, gdy Δ = 0. Więc musisz obliczyć Δ i przyrównać ją do zera.
Zauważ, że każdy wyraz dzieli się przez 36, więc podziel obie strony przez tę liczbę.
Dostałeś zależność między a oraz b. Postąp teraz podobnie dla drugiej prostej.
Podstaw za y równanie prostej.
Nawiasy wylicz ze wzorów skróconego mnożenia. Aby użyć wzoru do drugiego nawiasu musisz wyciągnąć minusa przed nawias.
Minus po podniesieniu do kwadratu zamieni się na 1. Teraz możesz użyć wzoru skróconego mnożenia do drugiego nawiasu.
Przemnóż obie strony równania przez wspólny mianownik, aby pozbyć się pierwiastków.
A następnie uprość wyrażenie i przenieś wszystkie składniki na jedną stronę. Warto także zapisać to jako równanie ze względu na x, a więc uporządkuj je tak, by wszystkie składniki z x były obok siebie.
A następnie wyciągnij x z tych składników.
Zauważ, że otrzymałeś równanie kwadratowe ze względu na x. Równanie to powinno mieć tylko jedno rozwiązanie (jedną wartość x będącego pierwszą współrzędną punktu styczności). Równanie kwadratowe ma jedno rozwiązanie tylko wtedy, gdy Δ = 0. Więc musisz obliczyć Δ i przyrównać ją do zera.
Zauważ, że każdy wyraz dzieli się przez 36, więc podziel obie strony przez tę liczbę. A ponieważ większość wyrazów jest z minusem, to podziel przez (-36)
Zestawiając ze sobą otrzymane dwie zależności między a i b możesz zapisać układ równań:
Zauważ, że dodając oba równania do siebie stronami otrzymasz prostą zależność.
Jest to iloczyn zmiennych a oraz b który wynosi 0. Oznacza to, że któraś ze zmiennych wynosi 0.
Musisz rozważyć dwa przypadki. W każdym z nich podstaw odpowiednią zmienną, do której z dwóch zależności między a i b
Dla a = 0
Oczywiście musisz pamiętać, że gdy pierwiastkujesz obie strony równania musisz rozważyć dwa przypadki.
Podstawiając obydwie otrzymane wartości do równania szukanego okręgu otrzymasz jego pełną formę.
Dla b = 0
Oczywiście musisz pamiętać, że gdy pierwiastkujesz obie strony równania musisz rozważyć dwa przypadki.
Podstawiając obydwie otrzymane wartości do równania szukanego okręgu otrzymasz jego pełną formę.