W tym zadaniu trzeba ustalić współrzędne punktu C będącego wierzchołkiem trapezu prostokątnego ABCD, w którym A = (-1, 4), B = (1, -2), D = (2, 4) a także że
Równanie prostej CD w postaci kierunkowej można zapisać jako:
A więc prosta CD wyraża się wzorem:
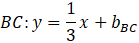
Więc prosta BC wyraża się równaniem:
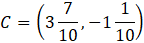
Więc współrzędne punktu C to:
Warto w tego typu zadaniach narysować rysunek pomocniczy. Oczywiście nie będzie on dokładny, ma on służyć zilustrowaniu problemu i określeniu co musisz szukać. Ponieważ współrzędne punktów są proste do zaznaczenia to zaznacz je i używając własności podanych w treści narysuj krawędzie tego trapezu.
Zauważ, że punkt C to punkt przecięcia się prostych BC i AD. Jeśli będziesz znał równania tych prostych to wyliczysz współrzędne ich przecięcia, czyli punkt C.
Prosta CD jest równoległa do prostej AB, więc ma taki sam współczynnik kierunkowy. Aby obliczyć współczynnik kierunkowy prostej AB, wystarczy, że skorzystasz z odpowiedniego wzoru:
Równanie prostej CD w postaci kierunkowej możesz zapisać jako:
Prosta CD przechodzi, przez punkt D, więc podstawiając do równania kierunkowego prostej CD za x pierwszą współrzędną D, powinieneś otrzymać w wyniku drugą współrzędną.
A więc prosta CD wyraża się wzorem:
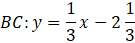
Prosta BC jest prostopadła do prostej CD, więc jej współczynnik kierunkowy to:
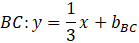
Analogicznie jak w przypadku prostej CD, prostą BC możesz zapisać jako:
Jeśli punkt B należy do prostej BC, to po podstawieniu pierwszej współrzędnej tego punktu do równania kierunkowego tej prostej powinieneś otrzymać drugą współrzędną.
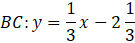
Więc prosta BC wyraża się równaniem:
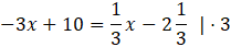
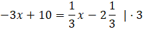
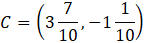
Następnie musisz wyznaczyć współrzędne punktu przecięcia się tych prostych, czyli C. W punkcie przecięcia się, obie proste mają tę samą wartość, więc wystarczy przyrównać ich równania kierunkowe do siebie.
Warto pomnożyć obie strony przez 3, aby pozbyć się ułamków.
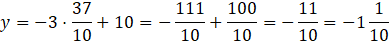
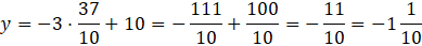
Aby obliczyć drugą współrzędną wystarczy podstawić otrzymaną wartość do któregokolwiek równania prostej.
Więc współrzędne punktu C to:
Ćwiczenie B.
11Ćwiczenie C.
12Zadanie 1.
14Zadanie 2.
14Zadanie 6.
14Zadanie 9.
15Zadanie 10.
15Zadanie 12.
15Zadanie 13.
15Zadanie 14.
15Zadanie 16.
15Zadanie 17.
15Ćwiczenie A.
17Ćwiczenie B.
17Przykład 2.
19Zadanie 1.
20Zadanie 2.
20Zadanie 4.
20Zadanie 5.
20Zadanie 7.
20Zadanie 8.
20Zadanie 9.
21Zadanie 10.
21Zadanie 11.
21Zadanie 14.
21Zadanie 15.
21Zadanie 16.
21Zadanie 17.
22Zadanie 1.
26Zadanie 3.
26Zadanie 4.
27Zadanie 6.
27Zadanie 7.
27Zadanie 8.
27Zadanie 9.
27Zadanie 12.
27Ćwiczenie B.
29Zadanie 1.
30Zadanie 3.
30Zadanie 4.
30Zadanie 5.
30Zadanie 6.
30Zadanie 8.
31Zadanie 10.
31Zadanie 11.
31Zadanie 1.
35Zadanie 2.
35Zadanie 4.
36Zadanie 5.
36Zadanie 6.
36Zadanie 7.
36Zadanie 8.
36Zadanie 11.
36Zadanie 12.
36Zadanie 14.
37Zadanie 1.
38Zadanie 11.
38Zadanie 12.
38