Ortocentrum to punkt przecięcia się wysokości trójkąta.
Niech wierzchołki rozważanego trójkąta to: A = (-3, 4), B = (2, -2) oraz C = (1, 5), zaś proste zawierające dane boki nazywają się od punktów przez które przechodzą.
h1 – prosta zawierająca wysokość opuszczoną na bok AB
Wysokość to odcinek prostopadły do boku i zawierający przeciwległy wierzchołek.
h2 – prosta zawierająca wysokość opuszczoną na bok BC
Skoro ortocentrum to punkt przecięcia się wysokości trójkąta, to będzie to także punkt przecięcia się prostych które zawierają te wysokości, a więc prostych h1 i h2.
Więc współrzędne środka ciężkości tego trójkąta to:
Przypomnij sobie czym jest ortocentrum trójkąta. Jest to punkt przecięcia się wysokości trójkąta. Ortocentrum trójkąta będzie także punktem przecięcia się prostych zawierających wysokości. Zauważ, że nie potrzebujesz wyznaczać wszystkich trzech prostych zawierających wysokości trójkąta, a wystarczy, że znajdziesz dwie z nich i punkt ich przecięcia.
Prosta która zawiera wysokość to prosta która przechodzi przez jeden z wierzchołków trójkąta i jest prostopadła do prostej która zawiera przeciwległy do tego wierzchołka bok. Musisz więc wyznaczyć współczynnik kierunkowy prostej przechodzącej przez dwa wierzchołki trójkąta.
Oznacz sobie podane punkty np. jako: A = (-3, 4), B = (2, -2) oraz C = (1, 5). Z kolei proste które zawierają dane boki nazwij od punktów przez które przechodzą.
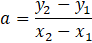
Współczynnik kierunkowy prostej AB oblicz korzystając ze wzoru na współczynnik kierunkowy prostej przechodzącej przez dwa punkty (x1, y1) oraz (x2, y2).
Podstawiając odpowiednio współrzędne A i B otrzymasz wynik:
Pamiętaj, że co prawda kolejność uwzględnianych punktów jest dowolna, ale musi być taka sama dla x-ów i y-ów. Więc jeśli przyjmiesz, że punktem o współrzędnych (x2, y2) jest punkt B, to musisz konsekwentnie podstawiać za y2 i x2 współrzędne punktu B.
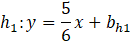
Prosta zawierająca wysokość (niech to będzie prosta h1) jest prostopadła do prostej AB. Więc jej współczynnik kierunkowy wyraża się wzorem na współczynnik kierunkowy prostej prostopadłej:
Podstawiając otrzymany wcześniej współczynnik otrzymasz:
Pamiętaj, że dzielenie przez ułamek to mnożenie przez jego odwrotność.
Równanie prostej h1 możesz na chwilę obecną zapisać jako:
Prosta h1 przechodzi, przez przeciwległy do boku AB wierzchołek, czyli przez punkt C. Podstawiając do równania kierunkowego prostej h1 za x pierwszą współrzędną tego punktu, powinieneś otrzymać w wyniku drugą współrzędną.
Więc prosta h1 zawierająca wysokość opuszczoną na bok AB wyraża się wzorem:
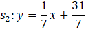
Analogicznie postępujesz dla prostej zawierającej wysokość opuszczoną na bok BC.
Współczynnik kierunkowy prostej BC oblicz korzystając ze wzoru na współczynnik kierunkowy prostej przechodzącej przez dwa punkty (x1, y1) oraz (x2, y2).
Podstawiając odpowiednio współrzędne B i C otrzymasz wynik:
Pamiętaj, że co prawda kolejność uwzględnianych punktów jest dowolna, ale musi być taka sama dla x-ów i y-ów. Więc jeśli przyjmiesz, że punktem o współrzędnych (x2, y2) jest punkt C, to musisz konsekwentnie podstawiać za y2 i x2 współrzędne punktu C.
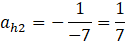
Prosta zawierająca wysokość (niech to będzie prosta h2) jest prostopadła do prostej BC. Więc jej współczynnik kierunkowy wyraża się wzorem na współczynnik kierunkowy prostej prostopadłej:
Podstawiając otrzymany wcześniej współczynnik otrzymasz:
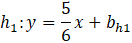
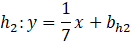
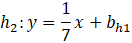
Równanie prostej h2 możesz na chwilę obecną zapisać jako:
Prosta h2 przechodzi, przez przeciwległy do boku BC wierzchołek, czyli przez punkt A. Podstawiając do równania kierunkowego prostej h2 za x pierwszą współrzędną tego punktu, powinieneś otrzymać w wyniku drugą współrzędną.
Więc prosta h2 zawierająca wysokość opuszczoną na bok BC wyraża się wzorem:
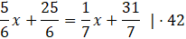
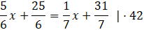
Ortocentrum trójkąta to będzie punkt przecięcia się prostych h1 i h2. Aby obliczyć współrzędne tego punktu przyrównaj równania obu prostych do siebie (gdyż proste osiągają wtedy taką samą wartość).
Aby pozbyć się ułamków przemnóż obie strony przez wspólny mianownik, czyli 42.
Aby obliczyć drugą współrzędną ortocentrum podstaw otrzymany wynik do dowolnego równania prostej zawierającej wysokość.
Więc współrzędne ortocentrum tego trójkąta to: