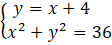
W tym zadaniu trzeba wyliczyć jakie jest pole trójkąta ABC, jeśli bok BC jest równocześnie średnicą okręgu zadanego równaniem x2 + y2 = 36, zaś punkty A i B to punkty przecięcia się prostej zadanej równaniem y = x + 4 z tym okręgiem.
Trójkąt ABC jest trójkątem wpisanym w okrąg (a jest, gdyż każdy jego wierzchołek leży na okręgu) oraz jeden z jego boków jest średnicą tego okręgu, więc trójkąt ten jest prostokątny.
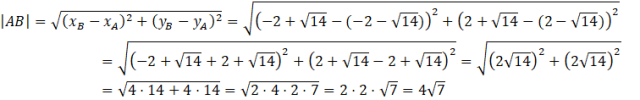
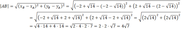
Wyznaczanie długości odcinka AB (czyli odległości między punktami A i B)
Długość odcinka BC to średnica okręgu, czyli dwukrotność promienia. Długość promienia wynosi 6, więc |BC|=12
Ponieważ trójkąt ABC to trójkąt prostokątny, to długość boku AC można obliczyć z twierdzenia Pitagorasa.
Pole trójkąta ABC wyraża się wzorem:
Zauważ, że skoro trójkąt ABC jest trójkątem wpisanym w okrąg (a jest, gdyż każdy jego wierzchołek leży na okręgu) oraz jeden z jego boków jest średnicą tego okręgu, to trójkąt ten jest prostokątny. Oznacza to, że jego pole to po prostu połowa iloczynu długości boków AB oraz AC (gdyż bok BC to przeciwprostokątna tego trójkąta, więc AB i AC to przyprostokątne).
Aby wyznaczyć długość boku AB najpierw musisz wyznaczyć punkty przecięcia się prostej zawierającej ten bok z okręgiem, a następnie wyliczyć odległość między tymi punktami.
Współrzędne punktów przecięcia podanej prostej z okręgiem będą spełniać układ równań składający się z równań podanej prostej i okręgu. Mają być to punkty, które jednocześnie należą do tej prostej i okręgu, więc muszą spełniać równania je opisujące na raz.
Zauważ, że z równania prostej masz od razu wyznaczoną zmienną y w zależności od x. Aby uzyskać równanie z jedną zmienną wystarczy, że do równania okręgu za y podstawisz równanie prostej.
Aby rozpisać nawias użyjesz wzoru skróconego mnożenia.
A następnie uprość wyrażenie i przenieś wszystkie składniki na jedną stronę.
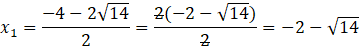
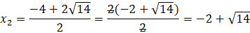
Otrzymałeś równanie kwadratowe, które musisz rozwiązać przy użyciu Δ. Jednakże zauważ, że każdy współczynnik dzieli się przez 2, więc aby mieć mniejsze liczby podziel obie strony równania przez 2.
Teraz aby otrzymać drugie współrzędne tych punktów musisz podstawić otrzymane liczby do któregokolwiek równania. Oczywiście łatwiej jest wyliczyć y z równania prostej.
Więc punkty przecięcia rozważanej prostej i okręgu to:
Szukana długość odcinka to po prostu odległość między tymi dwoma punktami:
Długość odcinka BC to po prostu średnica okręgu, czyli dwukrotność promienia. Długość promienia możesz odczytać bezpośrednio z równania okręgu. Jest to 6 (bo w równaniu okręgu podany jest kwadrat promienia). Więc |BC|=12
Ponieważ trójkąt ABC to trójkąt prostokątny, to długość boku AC możesz obliczyć z twierdzenia Pitagorasa.
Oczywiście |AC| musi być dodatnia, więc odrzucasz ujemny przypadek.
Pole trójkąta ABC wyraża się wzorem:
Podstawiając obliczone wartości otrzymasz:
Ćwiczenie B.
11Ćwiczenie C.
12Zadanie 1.
14Zadanie 2.
14Zadanie 6.
14Zadanie 9.
15Zadanie 10.
15Zadanie 12.
15Zadanie 13.
15Zadanie 14.
15Zadanie 16.
15Zadanie 17.
15Ćwiczenie A.
17Ćwiczenie B.
17Przykład 2.
19Zadanie 1.
20Zadanie 2.
20Zadanie 4.
20Zadanie 5.
20Zadanie 7.
20Zadanie 8.
20Zadanie 9.
21Zadanie 10.
21Zadanie 11.
21Zadanie 14.
21Zadanie 15.
21Zadanie 16.
21Zadanie 17.
22Zadanie 1.
26Zadanie 3.
26Zadanie 4.
27Zadanie 6.
27Zadanie 7.
27Zadanie 8.
27Zadanie 9.
27Zadanie 12.
27Ćwiczenie B.
29Zadanie 1.
30Zadanie 3.
30Zadanie 4.
30Zadanie 5.
30Zadanie 6.
30Zadanie 8.
31Zadanie 10.
31Zadanie 11.
31Zadanie 1.
35Zadanie 2.
35Zadanie 4.
36Zadanie 5.
36Zadanie 6.
36Zadanie 7.
36Zadanie 8.
36Zadanie 11.
36Zadanie 12.
36Zadanie 14.
37Zadanie 1.
38Zadanie 11.
38Zadanie 12.
38