W tym zadaniu musisz ustalić jaką liczbę prostych różniących się między sobą wskazują podane równania.
I.
II.
III.
IV.
V.
A więc te same równania są zapisane w I. i IV. oraz w II. i V. więc łącznie podane równania opisują trzy różne proste.
Aby ustalić które równanie są tymi samymi równaniami musisz każde z nich doprowadzić do jednej postaci (niech to będzie postać ogólna) oraz współczynniki muszą być w najprostszej postaci (tzn. w takiej, że nie da się bardziej skrócić współczynników A, B i C, aby pozostały liczbami całkowitymi oraz oczywiście są całkowite)
VI.
To równanie jest zarówno w postaci ogólnej, jak i nie da się skrócić bardziej jego współczynników, więc z nim nie musisz nic więcej robić.
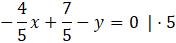
VII.
Najpierw zapisz to równanie w postaci ogólnej, a więc przenieś y na drugą stronę (lub prawą stronę na lewą)
Teraz pozbądź się ułamków przez pomnożenie przez wspólny mianownik. W tym wypadku to 5.
Tego równania już bardziej nie da się uprościć.
VIII.
Zauważ, że w tym równaniu (które już jest w postaci ogólnej) występuje ułamek przy x i w wyrazie wolnym. Dlatego aby uzyskać postać, na której tobie zależy musisz przemnożyć przez 2 (tyle wystarczy by się pozbyć tych ułamków)
Jest to już najprostsza postać tego równania. Od równania z I. różni się jedynie znakiem przy x. Jednakże to już jest inne równanie od tego z I.
IX.
To równanie jest zarówno w postaci ogólnej, jak i nie da się skrócić bardziej jego współczynników, więc z nim nie musisz nic więcej robić. Jednak zauważ, że każdy współczynnik tego równania jest taki sam jak współczynnik równania z I. tylko ze zmienionym znakiem. Więc aby uzyskać to samo równanie jak w I. wystarczy, że przemnożysz obie strony przez -1.
Istotnie to równanie opisuje tę samą prostą co równanie z I.
X.
To równanie jest zarówno w postaci ogólnej, jak i nie da się skrócić bardziej jego współczynników, więc z nim nie musisz nic więcej robić. Jednak zauważ, że każdy współczynnik tego równania jest taki sam jak współczynnik równania z II. tylko ze zmienionym znakiem. Więc aby uzyskać to samo równanie jak w II. wystarczy, że przemnożysz obie strony przez -1.
Istotnie to równanie opisuje tę samą prostą co równanie z II.
A więc te same równania są zapisane w I. i IV. oraz w II. i V. więc łącznie masz trzy różne proste.
Ćwiczenie B.
11Ćwiczenie C.
12Zadanie 1.
14Zadanie 2.
14Zadanie 6.
14Zadanie 9.
15Zadanie 10.
15Zadanie 12.
15Zadanie 13.
15Zadanie 14.
15Zadanie 16.
15Zadanie 17.
15Ćwiczenie A.
17Ćwiczenie B.
17Przykład 2.
19Zadanie 1.
20Zadanie 2.
20Zadanie 4.
20Zadanie 5.
20Zadanie 7.
20Zadanie 8.
20Zadanie 9.
21Zadanie 10.
21Zadanie 11.
21Zadanie 14.
21Zadanie 15.
21Zadanie 16.
21Zadanie 17.
22Zadanie 1.
26Zadanie 3.
26Zadanie 4.
27Zadanie 6.
27Zadanie 7.
27Zadanie 8.
27Zadanie 9.
27Zadanie 12.
27Ćwiczenie B.
29Zadanie 1.
30Zadanie 3.
30Zadanie 4.
30Zadanie 5.
30Zadanie 6.
30Zadanie 8.
31Zadanie 10.
31Zadanie 11.
31Zadanie 1.
35Zadanie 2.
35Zadanie 4.
36Zadanie 5.
36Zadanie 6.
36Zadanie 7.
36Zadanie 8.
36Zadanie 11.
36Zadanie 12.
36Zadanie 14.
37Zadanie 1.
38Zadanie 11.
38Zadanie 12.
38