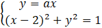
W tym zadaniu musisz określić jakie współrzędne ma styczna okręgu zadanego równaniem (x – 2)2 + y2 = 1 która przechodzi przez punkt będący początkiem układu współrzędnych.
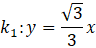
Szukane proste zadane są równaniami:
Odp.: A.
Skoro proste mają przechodzić przez początek układu współrzędnych (a więc punkt o współrzędnych (0, 0)), to po podstawieniu pierwszej współrzędnej za x do równania tych prostych, powinieneś otrzymać drugą współrzędną.
Możesz zapisać, że szukane proste zadane są równaniami:
Punkt styczności będzie należał zarówno do szukanej prostej, jak i do podanego okręgu. Więc jego współrzędne będą spełniań oba równania na raz. Jednakże, równanie takie musi mieć jedno rozwiązane, gdyż dla jednej prostej stycznej do okręgu, jest tylko jeden punkt, który należy do obu. Gdyby były dwa takie punkty, to prosta przecinałaby okrąg, a nie byłaby styczna. Zapisz oba równania jako układ równań:
Zauważ, że z równania prostej masz od razu wyznaczoną zmienną y w zależności od x oraz a. Aby uzyskać równanie z jedną zmienną wystarczy, że do równania okręgu za y podstawisz równanie prostej.
Nawias wylicz ze wzoru skróconego mnożenia
A następnie uprość wyrażenie i przenieś wszystkie składniki na jedną stronę. Warto także zapisać to jako równanie ze względu na x, a więc uporządkuj je tak, by wszystkie składniki z x były obok siebie.
A następnie wyciągnij x2 z tych składników.
Zauważ, że otrzymałeś równanie kwadratowe ze względu na x. Równanie to powinno mieć tylko jedno rozwiązanie (jedną wartość x będącego pierwszą współrzędną punktu styczności). Równanie kwadratowe ma jedno rozwiązanie tylko wtedy, gdy Δ = 0. Więc musisz obliczyć Δ i przyrównać ją do zera.
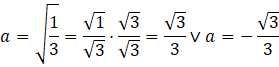
Dostałeś kolejne równanie kwadratowe. Pamiętaj, że jest to osobne równanie niż to które dostałeś z układu równań. Tam, było to równanie ze względu na x i jego rozwiązaniem była jakaś wartość x (czyli pierwszej współrzędnej punktu styczności). Natomiast tutaj zmienną jest a i wynikiem będzie wartość właśnie tego współczynnika. Aby otrzymać wynik wystarczy, że rozwiążesz to równanie kwadratowe, przez przeniesienie wyrazu wolnego na drugą stronę.
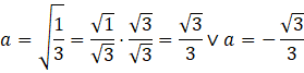
Oczywiście musisz pamiętać, że gdy pierwiastkujesz obie strony równania musisz rozważyć dwa przypadki.
Oczywiście, ponieważ otrzymałeś pierwiastek w mianowniku musisz usunąć niewymierność z mianownika przez przemnożenie licznika i mianownika przez ten pierwiastek. Otrzymałeś dwie wartości współczynnika a, co oznacza, że istnieją dwie proste styczne do podanego okręgu i przechodzące przez punkt podany w treści zadania. Znając współczynnik a możesz zapisać ich równania.
W odpowiedziach podana jest ta pierwsza prosta.
Ćwiczenie B.
11Ćwiczenie C.
12Zadanie 1.
14Zadanie 2.
14Zadanie 6.
14Zadanie 9.
15Zadanie 10.
15Zadanie 12.
15Zadanie 13.
15Zadanie 14.
15Zadanie 16.
15Zadanie 17.
15Ćwiczenie A.
17Ćwiczenie B.
17Przykład 2.
19Zadanie 1.
20Zadanie 2.
20Zadanie 4.
20Zadanie 5.
20Zadanie 7.
20Zadanie 8.
20Zadanie 9.
21Zadanie 10.
21Zadanie 11.
21Zadanie 14.
21Zadanie 15.
21Zadanie 16.
21Zadanie 17.
22Zadanie 1.
26Zadanie 3.
26Zadanie 4.
27Zadanie 6.
27Zadanie 7.
27Zadanie 8.
27Zadanie 9.
27Zadanie 12.
27Ćwiczenie B.
29Zadanie 1.
30Zadanie 3.
30Zadanie 4.
30Zadanie 5.
30Zadanie 6.
30Zadanie 8.
31Zadanie 10.
31Zadanie 11.
31Zadanie 1.
35Zadanie 2.
35Zadanie 4.
36Zadanie 5.
36Zadanie 6.
36Zadanie 7.
36Zadanie 8.
36Zadanie 11.
36Zadanie 12.
36Zadanie 14.
37Zadanie 1.
38Zadanie 11.
38Zadanie 12.
38