W tym zadaniu musisz wyznaczyć średnicę okręgu opisanego na trójkącie ABC. Punkt A ma współrzędne (9,2), punkt B jest symetryczny do niego względem prostej o równaniu y = -2, zaś C jest symetryczny do punktu A względem prostej o równaniu x = 4.
Odcinki AB i AC są do siebie prostopadłe. Oznacza, że trójkąt ABC jest prostokątny, zaś odcinek BC jest jego przeciwprostokątną. W trójkącie prostokątnym średnica okręgu opisanego to przeciwprostokątna tego trójkąta:
Najpierw musisz wyznaczyć współrzędne punktu B i C. Jeśli B jest symetryczny do A względem prostej y = -2, to środek odcinka AB leży na tej prostej. Wszystkie punkty na tej prostej mają drugą współrzędną wynoszącą -2. Oznacza to, że ten środek odcinka można zapisać:
Ponieważ prosta y = -2 jest równoległa do osi y, a odcinek AB jest prostopadły do tej prostej, to odcinek ten jest równoległy do osi x. Oznacza to, że pierwsza współrzędna punktu B jest taka sama jak A:
Teraz musisz zapisać ze wzoru współrzędne środka odcinka łączącego punkty A i B oraz podstawić znane współrzędne SAB:
Potrzebujesz jedynie obliczyć drugą współrzędną, więc przyrównaj drugie współrzędne do siebie:
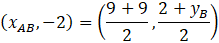
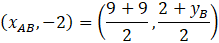
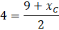
Następnie musisz obliczyć C. Robisz to w analogiczny sposób jak dla B, jednakże pamiętaj, że C jest symetryczne do A względem prostej o równaniu x = 4. Środek odcinka AC leży na prostej o tej równaniu. Wszystkie punkty leżące na niej mają tę samą pierwszą współrzędną, więc środek odcinka AC można zapisać jako:
Ponieważ prosta x = 4 jest równoległa do osi x, a odcinek AC jest prostopadły do tej prostej, to odcinek ten jest równoległy do osi y. Oznacza to, że druga współrzędna punktu C jest taka sama jak A:
Teraz musisz zapisać ze wzoru współrzędne środka odcinka łączącego punkty A i C oraz podstawić znane współrzędne SAC:
Potrzebujesz jedynie obliczyć pierwszą współrzędną, więc przyrównaj pierwsze współrzędne do siebie:
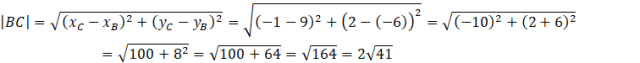
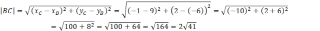
Zauważ, że odcinki AB i AC są do siebie prostopadłe. Wynika to z tego co było wspominane szybciej. AB jest równoległe do osi x, zaś AC jest równoległe do osi y. Osie te są do siebie prostopadłe, więc odcinki równoległe do nich, także będą prostopadłe. Oczywiście odcinki te przecinają się w (a ściślej, to wychodzą z) punkcie A. Skoro odcinki są prostopadłe i przecinają się w punkcie A, to kąt między tymi odcinkami przy punkcie A, będzie prosty. A to oznacza, że trójkąt ABC jest prostokątny, zaś odcinek BC jest jego przeciwprostokątną. Przypomnij sobie własność dotyczącą promienia okręgu opisanego na trójkącie prostokątnym. Średnica takiego okręgu to po prostu przeciwprostokątna tego trójkąta. Więc szukana średnica to po prostu odległość między punktami B i C. Aby ją wyliczyć skorzystaj ze wzoru na długość odcinka:
Ćwiczenie B.
11Ćwiczenie C.
12Zadanie 1.
14Zadanie 2.
14Zadanie 6.
14Zadanie 9.
15Zadanie 10.
15Zadanie 12.
15Zadanie 13.
15Zadanie 14.
15Zadanie 16.
15Zadanie 17.
15Ćwiczenie A.
17Ćwiczenie B.
17Przykład 2.
19Zadanie 1.
20Zadanie 2.
20Zadanie 4.
20Zadanie 5.
20Zadanie 7.
20Zadanie 8.
20Zadanie 9.
21Zadanie 10.
21Zadanie 11.
21Zadanie 14.
21Zadanie 15.
21Zadanie 16.
21Zadanie 17.
22Zadanie 1.
26Zadanie 3.
26Zadanie 4.
27Zadanie 6.
27Zadanie 7.
27Zadanie 8.
27Zadanie 9.
27Zadanie 12.
27Ćwiczenie B.
29Zadanie 1.
30Zadanie 3.
30Zadanie 4.
30Zadanie 5.
30Zadanie 6.
30Zadanie 8.
31Zadanie 10.
31Zadanie 11.
31Zadanie 1.
35Zadanie 2.
35Zadanie 4.
36Zadanie 5.
36Zadanie 6.
36Zadanie 7.
36Zadanie 8.
36Zadanie 11.
36Zadanie 12.
36Zadanie 14.
37Zadanie 1.
38Zadanie 11.
38Zadanie 12.
38