W tym zadaniu musisz wyznaczyć jakie współrzędne mają wierzchołki C i D równoległoboku ABCD, jeśli A = (-2, 5) i B = (-4, -3) to sąsiednie wierzchołki tego równoległoboku, zaś S to środek symetrii równoległoboku.
Skoro S to środek symetrii tego równoległoboku, to każdy punkt należący do tego równoległoboku posiada punkt symetryczny względem S. W szczególności dotyczy to wierzchołków A i B. Wierzchołki C i D są, w tej kolejności, symetryczne do A i B. Oznacza to, że punkt S jest środkiem odcinków łączących wierzchołki A i C oraz B i D
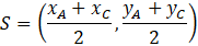
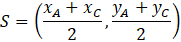
Zapisz współrzędne środka odcinka łączącego punkty A i C przy pomocy wzoru, a następnie przyrównaj do znanych z treści zadania wartości:
Przyrównaj do siebie każdą współrzędną
Analogicznie postępujesz z odcinkiem BD.
Ćwiczenie B.
11Ćwiczenie C.
12Zadanie 1.
14Zadanie 2.
14Zadanie 6.
14Zadanie 9.
15Zadanie 10.
15Zadanie 12.
15Zadanie 13.
15Zadanie 14.
15Zadanie 16.
15Zadanie 17.
15Ćwiczenie A.
17Ćwiczenie B.
17Przykład 2.
19Zadanie 1.
20Zadanie 2.
20Zadanie 4.
20Zadanie 5.
20Zadanie 7.
20Zadanie 8.
20Zadanie 9.
21Zadanie 10.
21Zadanie 11.
21Zadanie 14.
21Zadanie 15.
21Zadanie 16.
21Zadanie 17.
22Zadanie 1.
26Zadanie 3.
26Zadanie 4.
27Zadanie 6.
27Zadanie 7.
27Zadanie 8.
27Zadanie 9.
27Zadanie 12.
27Ćwiczenie B.
29Zadanie 1.
30Zadanie 3.
30Zadanie 4.
30Zadanie 5.
30Zadanie 6.
30Zadanie 8.
31Zadanie 10.
31Zadanie 11.
31Zadanie 1.
35Zadanie 2.
35Zadanie 4.
36Zadanie 5.
36Zadanie 6.
36Zadanie 7.
36Zadanie 8.
36Zadanie 11.
36Zadanie 12.
36Zadanie 14.
37Zadanie 1.
38Zadanie 11.
38Zadanie 12.
38