W tym zadaniu musisz wyznaczyć dla jakiej wartości parametru t, prosta przechodząca przez punkty B = (6, 7) oraz C = (5, t) jest prostopadła do prostej przechodzącej przez punkty A = (-2, 3) i B.
Odp.: B. t = 9.
Aby wyznaczyć wartość parametru t, potrzebujesz równania prostej BC.
Prosta BC jest prostopadła do prostej AB, więc jej współczynnik kierunkowy wyraża się wzorem:
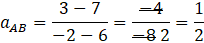
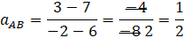
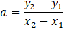
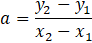
Aby obliczyć współczynnik kierunkowy prostej AB skorzystaj z wzoru na współczynnik kierunkowy prostej przechodzącej przez punkty (x1, y1) oraz (x2, y2).
Podstawiając odpowiednio współrzędne A i B otrzymasz wynik:
Pamiętaj, że co prawda kolejność uwzględnianych punktów jest dowolna, ale musi być taka sama dla x-ów i y-ów. Więc jeśli przyjmiesz, że punktem o współrzędnych (x2, y2) jest punkt A, to musisz konsekwentnie podstawiać za y2 i x2 współrzędne punktu A.
Współczynnik kierunkowy prostej BC wynosi:
Dzielenie przez ułamek to mnożenie przez odwrotność.
Więc równanie prostej BC w postaci kierunkowej można zapisać jako:
Prosta BC przechodzi, przez punkt B, więc podstawiając do równania kierunkowego prostej BC za B pierwszą współrzędną B, powinieneś otrzymać w wyniku drugą współrzędną.
Więc równanie prostej BC w postaci kierunkowej można zapisać jako:
Podobnie jak B, punkt C także musi należeć do tej prostej i analogicznie jak dla B, podstawiając pierwszą współrzędną punktu C powinieneś otrzymać drugą współrzędną.
Ćwiczenie B.
11Ćwiczenie C.
12Zadanie 1.
14Zadanie 2.
14Zadanie 6.
14Zadanie 9.
15Zadanie 10.
15Zadanie 12.
15Zadanie 13.
15Zadanie 14.
15Zadanie 16.
15Zadanie 17.
15Ćwiczenie A.
17Ćwiczenie B.
17Przykład 2.
19Zadanie 1.
20Zadanie 2.
20Zadanie 4.
20Zadanie 5.
20Zadanie 7.
20Zadanie 8.
20Zadanie 9.
21Zadanie 10.
21Zadanie 11.
21Zadanie 14.
21Zadanie 15.
21Zadanie 16.
21Zadanie 17.
22Zadanie 1.
26Zadanie 3.
26Zadanie 4.
27Zadanie 6.
27Zadanie 7.
27Zadanie 8.
27Zadanie 9.
27Zadanie 12.
27Ćwiczenie B.
29Zadanie 1.
30Zadanie 3.
30Zadanie 4.
30Zadanie 5.
30Zadanie 6.
30Zadanie 8.
31Zadanie 10.
31Zadanie 11.
31Zadanie 1.
35Zadanie 2.
35Zadanie 4.
36Zadanie 5.
36Zadanie 6.
36Zadanie 7.
36Zadanie 8.
36Zadanie 11.
36Zadanie 12.
36Zadanie 14.
37Zadanie 1.
38Zadanie 11.
38Zadanie 12.
38