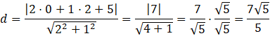
W tym zadaniu trzeba obliczyć w jakiej odległości punkt P o współrzędnych (0, 2) znajduje się od prostej o równaniu 2x + y + 5 = 0 korzystając ze wzoru na odległość punktu d od prostej o równaniu w postaci ogólnej.
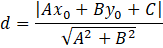
Odległość punktu o współrzędnych (x0, y0) od prostej o równaniu Ax + By + C = 0 wyraża się wzorem:
Więc aby obliczyć odległość punktu P od podanej prostej musisz podstawić odpowiednie wartości do wzoru.
Ponieważ w wyniku pierwiastek znalazł się w mianowniku, to musisz usunąć niewymierność z mianownika przez pomnożenie licznika oraz mianownika przez ten pierwiastek.
Ćwiczenie B.
11Ćwiczenie C.
12Zadanie 1.
14Zadanie 2.
14Zadanie 6.
14Zadanie 9.
15Zadanie 10.
15Zadanie 12.
15Zadanie 13.
15Zadanie 14.
15Zadanie 16.
15Zadanie 17.
15Ćwiczenie A.
17Ćwiczenie B.
17Przykład 2.
19Zadanie 1.
20Zadanie 2.
20Zadanie 4.
20Zadanie 5.
20Zadanie 7.
20Zadanie 8.
20Zadanie 9.
21Zadanie 10.
21Zadanie 11.
21Zadanie 14.
21Zadanie 15.
21Zadanie 16.
21Zadanie 17.
22Zadanie 1.
26Zadanie 3.
26Zadanie 4.
27Zadanie 6.
27Zadanie 7.
27Zadanie 8.
27Zadanie 9.
27Zadanie 12.
27Ćwiczenie B.
29Zadanie 1.
30Zadanie 3.
30Zadanie 4.
30Zadanie 5.
30Zadanie 6.
30Zadanie 8.
31Zadanie 10.
31Zadanie 11.
31Zadanie 1.
35Zadanie 2.
35Zadanie 4.
36Zadanie 5.
36Zadanie 6.
36Zadanie 7.
36Zadanie 8.
36Zadanie 11.
36Zadanie 12.
36Zadanie 14.
37Zadanie 1.
38Zadanie 11.
38Zadanie 12.
38