W tym zadaniu trzeba ustalić jakie równanie będzie miała prosta styczna z okręgiem opisanym równaniem: x2 + (y – 2)2 = 10 oraz styczna do niego w punkcie P = (1, 5)
S – środek podanego okręgu; S = (0, 2)
k – szukana styczna
l – prosta przechodząca przez punkty P oraz S
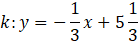
Więc szukana prosta ma równanie:
Prosta styczna w punkcie P do podanego okręgu będzie prostopadła do prostej łączącej środek okręgu z punktem P. Więc najpierw wyznacz równanie prostej przechodzącej przez środek okręgu oraz punkt P. Zauważ, że potrzebujesz jedynie współczynnika kierunkowego tej prostej.
Jednakże najpierw musisz wyznaczyć środek rozważanego okręgu. Odczytasz go z podanego równania. Niech punkt ten nazywa się S. Ma on współrzędne S = (0, 2) (pamiętaj, że przy odczytywaniu współrzędnych środka okręgu z równania okręgu musisz zmienić znaki przy współrzędnych na przeciwne)
Współczynnik kierunkowy prostej przechodzącej przez punkty P oraz S możesz wyliczyć ze wzoru:
Podstawiając współrzędne P i S otrzymasz:
Ponieważ szukana prosta (niech to będzie prosta k) jest prostopadła do prostej przechodzącej przez punkty P oraz S, to ich współczynniki kierunkowe spełniają zależność:
Podstawiając szybciej otrzymany współczynnik kierunkowy otrzymasz:
Ponieważ szukana styczna ma przechodzić przez punkt P, to podstawiając współrzędne tego punktu za x oraz y otrzymasz prawdziwą zależność.
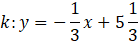
Więc szukana prosta ma równanie:
Ćwiczenie B.
11Ćwiczenie C.
12Zadanie 1.
14Zadanie 2.
14Zadanie 6.
14Zadanie 9.
15Zadanie 10.
15Zadanie 12.
15Zadanie 13.
15Zadanie 14.
15Zadanie 16.
15Zadanie 17.
15Ćwiczenie A.
17Ćwiczenie B.
17Przykład 2.
19Zadanie 1.
20Zadanie 2.
20Zadanie 4.
20Zadanie 5.
20Zadanie 7.
20Zadanie 8.
20Zadanie 9.
21Zadanie 10.
21Zadanie 11.
21Zadanie 14.
21Zadanie 15.
21Zadanie 16.
21Zadanie 17.
22Zadanie 1.
26Zadanie 3.
26Zadanie 4.
27Zadanie 6.
27Zadanie 7.
27Zadanie 8.
27Zadanie 9.
27Zadanie 12.
27Ćwiczenie B.
29Zadanie 1.
30Zadanie 3.
30Zadanie 4.
30Zadanie 5.
30Zadanie 6.
30Zadanie 8.
31Zadanie 10.
31Zadanie 11.
31Zadanie 1.
35Zadanie 2.
35Zadanie 4.
36Zadanie 5.
36Zadanie 6.
36Zadanie 7.
36Zadanie 8.
36Zadanie 11.
36Zadanie 12.
36Zadanie 14.
37Zadanie 1.
38Zadanie 11.
38Zadanie 12.
38