W tym zadaniu musisz sprawdzić czy punkty A = (2, 12), B = (-7, -1) i C = (-10, -5) są współliniowe.
Wyznaczanie równania prostej przechodzącej przez A i B
Sprawdzenie czy punkt C należy do prostej AB
A więc punkt C nie leży na prostej AB. Oznacza to, że podane punkty nie są współliniowe.
Aby sprawdzić czy punkty A, B i C są współliniowe (czyli leżą na tej samej prostej) możesz najpierw znaleźć równanie prostej która przechodzi przez dwoje z nich a następnie sprawdzić czy trzeci punkt także należy do tej prostej (ewentualnie możesz wyznaczyć równanie prostej przechodzącej przez inną parę punktów i sprawdzić czy to jest to ta sama prosta co wcześniej wyznaczona)
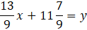
Wyznacz prostą przechodzącą przez punkty A i B. W pierwszej kolejności musisz się upewnić, czy równanie prostej AB da się zapisać w postaci kierunkowej. Punkty A i B mają różne pierwsze współrzędne, więc nie leżą na prostej prostopadłej do osi x (nie da się przeprowadzić takiej prostej przez nie). Prosta ta w postaci kierunkowej wygląda następująco:
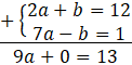
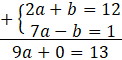
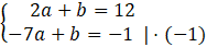
Ponieważ masz dwie niewiadome, to aby je znaleźć potrzebujesz rozwiązać układ dwóch równań. Aby ustalić te dwa równania przypomnij sobie, że prosta to zbiór punktów które spełniają określony w równaniu prostej warunek. Więc jeśli podstawisz odpowiednio za x wartość pierwszej współrzędnej, a za y wartość drugiej, to otrzymasz prawdziwą zależność. Podane masz dwa punkty, więc takie zależności możesz zapisać dla każdego z nich.
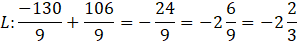
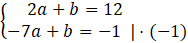
Ten układ równań najszybciej rozwiążesz z metody przeciwnych współczynników. Zauważ, że aby po dodaniu stronami skrócił się b, to wystarczy przemnożyć drugie równanie (lub pierwsze) przez -1.
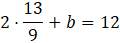
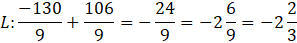
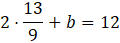
Aby wyliczyć b wystarczy, że podstawisz otrzymany wynik do któregoś ze wzorów.
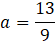
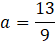
Teraz sprowadź wszystkie składniki do wspólnego mianownika:
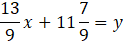
Aby zapisać równanie prostej AB w postaci kierunkowej, podstaw otrzymane wyniki za a i b.
Teraz musisz sprawdzić czy punkt C leży na prostej AB. Aby to zrobić wystarczy, że do równania tej prostej podstawisz wartość pierwszej współrzędnej za x (gdyż pierwsza współrzędna „odpowiada” za x), oraz wartość drugiej współrzędnej za y (gdyż druga współrzędna „odpowiada” za y). Jeśli lewa strona równania wyjdzie taka sama jak prawa, to znaczy, że punkt P należy do trzeciej prostej.
A więc punkt C nie leży na prostej AB. Oznacza to, że podane punkty nie są współliniowe.
Ćwiczenie B.
11Ćwiczenie C.
12Zadanie 1.
14Zadanie 2.
14Zadanie 6.
14Zadanie 9.
15Zadanie 10.
15Zadanie 12.
15Zadanie 13.
15Zadanie 14.
15Zadanie 16.
15Zadanie 17.
15Ćwiczenie A.
17Ćwiczenie B.
17Przykład 2.
19Zadanie 1.
20Zadanie 2.
20Zadanie 4.
20Zadanie 5.
20Zadanie 7.
20Zadanie 8.
20Zadanie 9.
21Zadanie 10.
21Zadanie 11.
21Zadanie 14.
21Zadanie 15.
21Zadanie 16.
21Zadanie 17.
22Zadanie 1.
26Zadanie 3.
26Zadanie 4.
27Zadanie 6.
27Zadanie 7.
27Zadanie 8.
27Zadanie 9.
27Zadanie 12.
27Ćwiczenie B.
29Zadanie 1.
30Zadanie 3.
30Zadanie 4.
30Zadanie 5.
30Zadanie 6.
30Zadanie 8.
31Zadanie 10.
31Zadanie 11.
31Zadanie 1.
35Zadanie 2.
35Zadanie 4.
36Zadanie 5.
36Zadanie 6.
36Zadanie 7.
36Zadanie 8.
36Zadanie 11.
36Zadanie 12.
36Zadanie 14.
37Zadanie 1.
38Zadanie 11.
38Zadanie 12.
38