W tym zadaniu musisz wyznaczyć jakie równanie ma prosta która przechodzi przez punkt o współrzędnych (2, 1) i jednocześnie jest równoległa do prostej zadanej równaniem 5x + 3y – 4 = 0.
Szukana prosta:
Ponieważ przechodzi przez punkt (2, 1) to:
Prosta podana w treści zadania:
Ponieważ obie proste są równoległe do siebie, więc ich współczynniki kierunkowe są równe:
Więc szukana prosta ma równanie w postaci:
Odp.: Równanie szukanej prostej to
Jeśli szukana prosta przechodzi przez punkt (2, 1) to po podstawieniu do równania tej prostej x = 2 oraz y = 1 powinieneś otrzymać prawdziwą zależność.
Równanie kierunkowe szukanej prostej możesz zapisać jako:
Po podstawieniu x = 2 oraz y = 1 (na podstawie tego co wyżej napisano) otrzymasz:
Warto przenieść 2a na drugą stronę by otrzymać zależność między współczynnikami a i b.
W kolejnym etapie zadania będziesz korzystać z tego, że szukana prosta musi być równoległa do prostej o równaniu 5x + 3y – 4 = 0. Oczywiście aby dwie proste były do siebie równoległe to ich współczynniki kierunkowe muszą wynosić tyle samo. Współczynnikiem kierunkowym szukanej prostej jest oczywiście a. Zaś aby wyznaczyć współczynnik kierunkowy prostej o znanym równaniu musisz zapisać je w postaci kierunkowej.
Spójrz, jak wygląda postać kierunkowa równania prostej. Po jednej stronie równania jest zawsze y, zaś po drugiej wyrażenie z x i wyraz wolny. Oczywiście współczynnik stojący przy x może wynosić 0, wtedy nie zapisuje się go i po drugiej stronie stoi jedynie wyraz wolny. Więc aby zapisać równanie w postaci kierunkowej musisz przenieść y na jedną stronę tak by był jedynym wyrażeniem z tej strony, a następnie ewentualnie pozbyć się liczby stojącej przy y.
Więc współczynnik kierunkowy znanej prostej wynosi
Szukana prosta, jeśli jest równoległa do znanej, to ma ten sam współczynnik kierunkowy. Więc możesz zapisać:
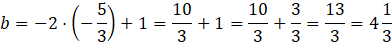
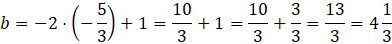
Podstawiając do otrzymanej zależności na a i b otrzymany wynik obliczysz b:
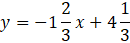
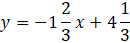
Więc szukana prosta ma równanie w postaci:
Ćwiczenie B.
11Ćwiczenie C.
12Zadanie 1.
14Zadanie 2.
14Zadanie 6.
14Zadanie 9.
15Zadanie 10.
15Zadanie 12.
15Zadanie 13.
15Zadanie 14.
15Zadanie 16.
15Zadanie 17.
15Ćwiczenie A.
17Ćwiczenie B.
17Przykład 2.
19Zadanie 1.
20Zadanie 2.
20Zadanie 4.
20Zadanie 5.
20Zadanie 7.
20Zadanie 8.
20Zadanie 9.
21Zadanie 10.
21Zadanie 11.
21Zadanie 14.
21Zadanie 15.
21Zadanie 16.
21Zadanie 17.
22Zadanie 1.
26Zadanie 3.
26Zadanie 4.
27Zadanie 6.
27Zadanie 7.
27Zadanie 8.
27Zadanie 9.
27Zadanie 12.
27Ćwiczenie B.
29Zadanie 1.
30Zadanie 3.
30Zadanie 4.
30Zadanie 5.
30Zadanie 6.
30Zadanie 8.
31Zadanie 10.
31Zadanie 11.
31Zadanie 1.
35Zadanie 2.
35Zadanie 4.
36Zadanie 5.
36Zadanie 6.
36Zadanie 7.
36Zadanie 8.
36Zadanie 11.
36Zadanie 12.
36Zadanie 14.
37Zadanie 1.
38Zadanie 11.
38Zadanie 12.
38