W tym zadaniu musisz wyznaczyć równanie okręgu, który jest opisany na trójkącie, którego wierzchołki to A = (0, 10), B = (0, 0), C = (6, 2).
Równanie szukanego okręgu:
Więc okrąg opisany na trójkącie ABC ma równanie w postaci:
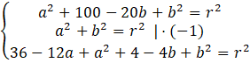
Okrąg opisany na trójkącie przechodzi przez każdy z jego wierzchołków. Więc po podstawieniu współrzędnych tych wierzchołków za x oraz y otrzymasz prawdziwą zależność.
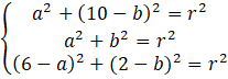
Równanie szukanego okręgu możesz zapisać jako:
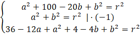
Jeśli podstawisz za x i y współrzędne każdego z wierzchołków trójkąta otrzymasz trzy równania z trzema niewiadomymi.
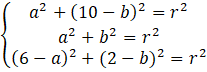
Nawiasy wymnóż ze wzorów skróconego mnożenia.
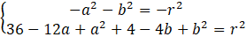
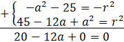
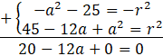
Skup się na pierwszych dwóch równaniach. Zauważ, że możesz do nich użyć metody przeciwnych współczynników, aby pozbyć się zmiennych w kwadratach. Przemnóż w tym celu drugie równanie przez (-1), a następnie dodaj do siebie te dwa równania.
Otrzymałeś proste równanie z b.
Aby otrzymać a możesz podobnie postąpić z drugim i trzecim równaniem, jednakże najpierw podstaw otrzymaną wartość b do obu tych równań.
Otrzymałeś proste równanie z a.
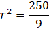
Aby wyliczyć promień tego okręgu podstaw otrzymane wartości a i b do któregokolwiek równania. Najlepiej podstawić je do drugiego równania, gdyż jest najprostsze.
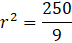
Do równania okręgu potrzebujesz jedynie r2, więc nie musisz liczyć samego r.
Więc okrąg opisany na trójkącie ABC ma równanie w postaci:
Ćwiczenie B.
11Ćwiczenie C.
12Zadanie 1.
14Zadanie 2.
14Zadanie 6.
14Zadanie 9.
15Zadanie 10.
15Zadanie 12.
15Zadanie 13.
15Zadanie 14.
15Zadanie 16.
15Zadanie 17.
15Ćwiczenie A.
17Ćwiczenie B.
17Przykład 2.
19Zadanie 1.
20Zadanie 2.
20Zadanie 4.
20Zadanie 5.
20Zadanie 7.
20Zadanie 8.
20Zadanie 9.
21Zadanie 10.
21Zadanie 11.
21Zadanie 14.
21Zadanie 15.
21Zadanie 16.
21Zadanie 17.
22Zadanie 1.
26Zadanie 3.
26Zadanie 4.
27Zadanie 6.
27Zadanie 7.
27Zadanie 8.
27Zadanie 9.
27Zadanie 12.
27Ćwiczenie B.
29Zadanie 1.
30Zadanie 3.
30Zadanie 4.
30Zadanie 5.
30Zadanie 6.
30Zadanie 8.
31Zadanie 10.
31Zadanie 11.
31Zadanie 1.
35Zadanie 2.
35Zadanie 4.
36Zadanie 5.
36Zadanie 6.
36Zadanie 7.
36Zadanie 8.
36Zadanie 11.
36Zadanie 12.
36Zadanie 14.
37Zadanie 1.
38Zadanie 11.
38Zadanie 12.
38