W tym zadaniu musisz określić dla jakich wartości parametru t proste m:
Współczynnik kierunkowy prostej m:
Wyznaczanie współczynnika kierunkowego prostej n:
Współczynnik kierunkowy prostej n:
Aby proste m i n były równoległe to:
Aby proste m i n były prostopadłe to:
Aby określić dla jakich wartości t proste podane w zadaniu będą do siebie prostopadłe i równoległe musisz znać współczynniki kierunkowe obu prostych. Z kolei, aby móc wyznaczyć współczynniki kierunkowe tych prostych obie muszą być zapisane w postaci kierunkowej.
W tym przypadku prosta m jest już zapisana w postaci kierunkowej. Jej współczynnik kierunkowy wynosi
Prosta n jest zapisana w postaci ogólnej. Aby wyznaczyć jej współczynnik kierunkowy musisz zapisać ją w postaci kierunkowej.
Spójrz, jak wygląda postać kierunkowa równania prostej. Po jednej stronie równania jest zawsze y, zaś po drugiej wyrażenie z x i wyraz wolny. Oczywiście współczynnik stojący przy x może wynosić 0, wtedy nie zapisuje się go i po drugiej stronie stoi jedynie wyraz wolny. Więc aby zapisać równanie w postaci kierunkowej musisz przenieść y na jedną stronę tak by był jedynym wyrażeniem z tej strony, a następnie ewentualnie pozbyć się liczby stojącej przy y.
A więc współczynnik kierunkowy prostej m wynosi
Aby proste m i n były do siebie równoległe ich współczynniki kierunkowe muszą być sobie równe. Przyrównując do siebie oba współczynniki kierunkowe otrzymasz:
Z kolei, aby proste m i n były prostopadłe ich współczynniki kierunkowe muszą spełniać zależność:
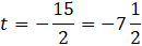
Gdy podstawisz współczynniki kierunkowe prostych m i n otrzymasz poszukiwaną wartość t:
Ćwiczenie B.
11Ćwiczenie C.
12Zadanie 1.
14Zadanie 2.
14Zadanie 6.
14Zadanie 9.
15Zadanie 10.
15Zadanie 12.
15Zadanie 13.
15Zadanie 14.
15Zadanie 16.
15Zadanie 17.
15Ćwiczenie A.
17Ćwiczenie B.
17Przykład 2.
19Zadanie 1.
20Zadanie 2.
20Zadanie 4.
20Zadanie 5.
20Zadanie 7.
20Zadanie 8.
20Zadanie 9.
21Zadanie 10.
21Zadanie 11.
21Zadanie 14.
21Zadanie 15.
21Zadanie 16.
21Zadanie 17.
22Zadanie 1.
26Zadanie 3.
26Zadanie 4.
27Zadanie 6.
27Zadanie 7.
27Zadanie 8.
27Zadanie 9.
27Zadanie 12.
27Ćwiczenie B.
29Zadanie 1.
30Zadanie 3.
30Zadanie 4.
30Zadanie 5.
30Zadanie 6.
30Zadanie 8.
31Zadanie 10.
31Zadanie 11.
31Zadanie 1.
35Zadanie 2.
35Zadanie 4.
36Zadanie 5.
36Zadanie 6.
36Zadanie 7.
36Zadanie 8.
36Zadanie 11.
36Zadanie 12.
36Zadanie 14.
37Zadanie 1.
38Zadanie 11.
38Zadanie 12.
38