W tym zadaniu musisz wyznaczyć równania prostej w postaci ogólnej, takiej, że ta prosta przechodzi przez punkt
Wyznaczanie współczynnika kierunkowego prostej AB:
Współczynnik kierunkowy szukanej prostej:
Szukana prosta przechodzi przez punkt
A więc równanie w postaci kierunkowej szukanej prostej to:
Równanie w postaci ogólnej szukanej prostej to:
Aby móc wyznaczyć prostą prostopadłą do prostej AB musisz najpierw wyznaczyć równanie prostej AB. A dokładniej potrzebujesz współczynnika kierunkowego tej prostej. Upewnij się, czy równanie prostej AB da się zapisać w postaci kierunkowej. Punkty A i B mają różne pierwsze współrzędne, więc nie leżą na prostej prostopadłej do osi x (nie da się przeprowadzić takiej prostej przez nie). Więc prostą AB można zapisać w postaci kierunkowej:
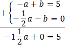
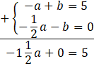
Ponieważ masz dwie niewiadome, to aby je znaleźć potrzebujesz rozwiązać układ dwóch równań. Aby ustalić te dwa równania przypomnij sobie, że prosta to zbiór punktów które spełniają określony w równaniu prostej warunek. Więc jeśli podstawisz odpowiednio za x wartość pierwszej współrzędnej, a za y wartość drugiej, to otrzymasz prawdziwą zależność. Podane masz dwa punkty, więc takie zależności możesz zapisać dla każdego z nich.
Ten układ równań najszybciej rozwiążesz z metody przeciwnych współczynników. Zauważ, że aby po dodaniu stronami skrócił się b, to wystarczy przemnożyć drugie równanie (lub pierwsze) przez -1.
Ponieważ z prostej AB potrzebujesz jedynie współczynnika kierunkowego to nie musisz już wyznaczać wyrazu wolnego b.
Współczynnik kierunkowy prostej która jest prostopadła do prostej AB razem z współczynnikiem kierunkowym prostej AB spełnia zależność:
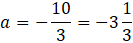
Gdy podstawisz za któreś a współczynnik kierunkowy prostej AB otrzymasz poszukiwany współczynnik:
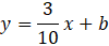
A więc równanie w postaci kierunkowej szukanej prostej możesz zapisać jako:
Jeśli szukana prosta przechodzi przez punkt
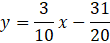
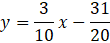
A więc równanie w postaci kierunkowej szukanej prostej to:
Aby uzyskać równanie w postaci ogólnej, wystarczy, że przeniesiesz y na drugą stronę i przemnożysz przez 20, aby pozbyć się ułamka oraz przez minus, aby pozbyć się minusów które stanowią większość.
Ćwiczenie B.
11Ćwiczenie C.
12Zadanie 1.
14Zadanie 2.
14Zadanie 6.
14Zadanie 9.
15Zadanie 10.
15Zadanie 12.
15Zadanie 13.
15Zadanie 14.
15Zadanie 16.
15Zadanie 17.
15Ćwiczenie A.
17Ćwiczenie B.
17Przykład 2.
19Zadanie 1.
20Zadanie 2.
20Zadanie 4.
20Zadanie 5.
20Zadanie 7.
20Zadanie 8.
20Zadanie 9.
21Zadanie 10.
21Zadanie 11.
21Zadanie 14.
21Zadanie 15.
21Zadanie 16.
21Zadanie 17.
22Zadanie 1.
26Zadanie 3.
26Zadanie 4.
27Zadanie 6.
27Zadanie 7.
27Zadanie 8.
27Zadanie 9.
27Zadanie 12.
27Ćwiczenie B.
29Zadanie 1.
30Zadanie 3.
30Zadanie 4.
30Zadanie 5.
30Zadanie 6.
30Zadanie 8.
31Zadanie 10.
31Zadanie 11.
31Zadanie 1.
35Zadanie 2.
35Zadanie 4.
36Zadanie 5.
36Zadanie 6.
36Zadanie 7.
36Zadanie 8.
36Zadanie 11.
36Zadanie 12.
36Zadanie 14.
37Zadanie 1.
38Zadanie 11.
38Zadanie 12.
38