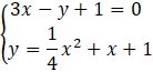
W tym zadaniu trzeba określić jaka jest liczba punktów wspólnych prostej oraz paraboli zadanych równaniami:
Ilość rozwiązań tego równania odpowiada ilości rozwiązań wyjściowego układu równań, a więc także ilości wspólnych punktów prostej i paraboli.
Równanie ma dwa rozwiązania, więc prosta i parabola mają dwa punkty wspólne.
Ilość punktów wspólnych podanej prostej i paraboli to będzie ilość rozwiązań układu równań składającego się z tych równań.
Zauważ, że w drugim równaniu masz podanego y w zależności od x, więc możesz bezpośrednio podstawić to wyrażenie do pierwszego równania.
Zauważ, że otrzymałeś równanie kwadratowe ze względu na x. Ilość rozwiązań tego równania odpowiada ilości rozwiązań wyjściowego układu równań, czyli ilości punktów wspólnych prostej i paraboli. Przypomnij sobie od czego zależy liczba rozwiązań równania kwadratowego. Jest ona zależna od znaku Δ. Więc musisz obliczyć jej wartość.
Więc równanie ma dwa rozwiązania, czyli prosta podana w treści zadania ma dwa wspólne punkty z parabolą również podaną w treści zadania.
Ćwiczenie B.
11Ćwiczenie C.
12Zadanie 1.
14Zadanie 2.
14Zadanie 6.
14Zadanie 9.
15Zadanie 10.
15Zadanie 12.
15Zadanie 13.
15Zadanie 14.
15Zadanie 16.
15Zadanie 17.
15Ćwiczenie A.
17Ćwiczenie B.
17Przykład 2.
19Zadanie 1.
20Zadanie 2.
20Zadanie 4.
20Zadanie 5.
20Zadanie 7.
20Zadanie 8.
20Zadanie 9.
21Zadanie 10.
21Zadanie 11.
21Zadanie 14.
21Zadanie 15.
21Zadanie 16.
21Zadanie 17.
22Zadanie 1.
26Zadanie 3.
26Zadanie 4.
27Zadanie 6.
27Zadanie 7.
27Zadanie 8.
27Zadanie 9.
27Zadanie 12.
27Ćwiczenie B.
29Zadanie 1.
30Zadanie 3.
30Zadanie 4.
30Zadanie 5.
30Zadanie 6.
30Zadanie 8.
31Zadanie 10.
31Zadanie 11.
31Zadanie 1.
35Zadanie 2.
35Zadanie 4.
36Zadanie 5.
36Zadanie 6.
36Zadanie 7.
36Zadanie 8.
36Zadanie 11.
36Zadanie 12.
36Zadanie 14.
37Zadanie 1.
38Zadanie 11.
38Zadanie 12.
38