W tym zadaniu musisz wykazać, że dla prostych zadanych równaniami ogólnymi A1x + B1y + C1 = 0 oraz A2x + B2y + C2 = 0 zachodzi warunek A1A2 = -B1B2 jeśli te proste są do siebie prostopadłe. Załóż, że obie proste nie są prostopadłe do osi OX.
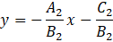
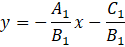
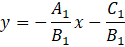
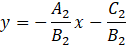
Zapiszmy równania obu prostych w postaci kierunkowej:
Proste są do siebie prostopadłe, gdy ich współczynniki kierunkowe spełniają zależność:
Co należało dowieść.
W tym zadaniu musisz udowodnić, że podana zależność zachodzi, gdy proste są do siebie prostopadłe. Aby to zrobić wykorzystasz znaną zależność między współczynnikami kierunkowymi prostych prostopadłych. Jednakże, aby z niej skorzystać potrzebujesz współczynników kierunkowych obu prostych, a je odczytasz, gdy będziesz miał zapisane równania w postaci kierunkowej. Więc w pierwszym kroku musisz zamienić równania z postaci ogólnej na kierunkową.
Spójrz, jak wygląda postać kierunkowa równania prostej. Po jednej stronie równania jest zawsze y, zaś po drugiej wyrażenie z x i wyraz wolny. Oczywiście współczynnik stojący przy x może wynosić 0, wtedy nie zapisuje się go i po drugiej stronie stoi jedynie wyraz wolny. Więc aby zapisać równanie w postaci kierunkowej musisz przenieść y na jedną stronę tak by był jedynym wyrażeniem z tej strony, a następnie ewentualnie pozbyć się liczby stojącej przy y.
Ponieważ dzielisz tu przez zmienną musisz założyć, że jest ona różna od 0. Jednakże i tak wynika to z założenia, że proste mają nie być prostopadłe do osi OX, bo to oznacza, że współczynnik B1 i tak musi być różny od 0.
Ponieważ dzielisz tu przez zmienną musisz założyć, że jest ona różna od 0. Jednakże i tak wynika to z założenia, że proste mają nie być prostopadłe do osi OX, bo to oznacza, że współczynnik B2 i tak musi być różny od 0.
Teraz wystarczy skorzystać z warunku na prostopadłość prostych w postaci kierunkowej. Aby były one prostopadłe ich współczynniki kierunkowe muszą spełniać poniższy warunek. Współczynnik kierunkowy to oczywiście ta liczba, która stoi przy x. Więc musisz podstawić je do warunku na prostopadłość.
Aby uzyskać równość, którą chcesz udowodnić musisz przemnożyć otrzymane równanie „na krzyż”
Otrzymałeś dokładnie tę samą równość, którą miałeś udowodnić tylko dzięki przekształceniom i znanym własnościom. Oznacza to, że końcowa równość jest prawdziwa, co należało dowieść.
Ćwiczenie B.
11Ćwiczenie C.
12Zadanie 1.
14Zadanie 2.
14Zadanie 6.
14Zadanie 9.
15Zadanie 10.
15Zadanie 12.
15Zadanie 13.
15Zadanie 14.
15Zadanie 16.
15Zadanie 17.
15Ćwiczenie A.
17Ćwiczenie B.
17Przykład 2.
19Zadanie 1.
20Zadanie 2.
20Zadanie 4.
20Zadanie 5.
20Zadanie 7.
20Zadanie 8.
20Zadanie 9.
21Zadanie 10.
21Zadanie 11.
21Zadanie 14.
21Zadanie 15.
21Zadanie 16.
21Zadanie 17.
22Zadanie 1.
26Zadanie 3.
26Zadanie 4.
27Zadanie 6.
27Zadanie 7.
27Zadanie 8.
27Zadanie 9.
27Zadanie 12.
27Ćwiczenie B.
29Zadanie 1.
30Zadanie 3.
30Zadanie 4.
30Zadanie 5.
30Zadanie 6.
30Zadanie 8.
31Zadanie 10.
31Zadanie 11.
31Zadanie 1.
35Zadanie 2.
35Zadanie 4.
36Zadanie 5.
36Zadanie 6.
36Zadanie 7.
36Zadanie 8.
36Zadanie 11.
36Zadanie 12.
36Zadanie 14.
37Zadanie 1.
38Zadanie 11.
38Zadanie 12.
38