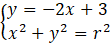
W tym zadaniu trzeba ustalić dla jakiego promienia, okrąg mający środek w punkcie S = (0, 0) nie będzie przecięty prostą zadaną równaniem y = -2x + 3.
Okrąg o środku w punkcie (0, 0) i promieniu r ma równanie w postaci:
Ponieważ prosta nie ma punktów wspólnych z tym okręgiem, więc powyższe równanie nie może mieć rozwiązań. Ponieważ jest to równanie kwadratowe, to nie ma żadnych rozwiązań wtedy i tylko wtedy, gdy:
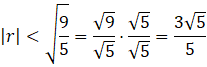
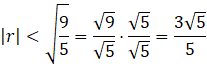
Więc rozważany okrąg nie jest przecinany przez podaną prostą dla promieni z przedziału
Okrąg o środku w punkcie (0, 0) i promieniu r ma równanie w postaci:
Jeśli okrąg taki nie ma żadnych punktów wspólnych z rozważaną prostą to układ równań złożony z równań okręgu i prostej będzie sprzeczny.
Zauważ, że z równania prostej masz od razu wyznaczoną zmienną y w zależności od x. Aby uzyskać równanie z jedną zmienną wystarczy, że do równania okręgu za y podstawisz równanie prostej.
Wyrażenie z nawiasu oblicz przy użyciu wzoru skróconego mnożenia. Aby móc skorzystać ze wzoru skróconego mnożenia zamień kolejność elementów wewnątrz nawiasu.
A następnie uprość wyrażenie i przenieś wszystkie składniki na jedną stronę. Warto także zapisać to jako równanie ze względu na x, a więc uporządkuj je tak, by wszystkie składniki z x były obok siebie.
Zauważ, że otrzymałeś równanie kwadratowe ze względu na x. Równanie to nie powinno mieć żadnych rozwiązań. Równanie kwadratowe nie ma rozwiązań tylko wtedy, gdy Δ < 0. Więc musisz obliczyć Δ i rozwiązać nierówność z otrzymanym wyrażeniem.
Pierwiastek z kwadratu pewnej liczby to wartość bezwzględna tej liczby. Dostajesz więc nierówność z wartością bezwzględną.
Ponieważ otrzymałeś w mianowniku pierwiastek, musisz usunąć niewymierność z mianownika poprzez przemnożenie licznika i mianownika przez ten pierwiastek. Oczywiście musisz rozbić tę nierówność na dwie nierówności zgodnie z zasadami dotyczącymi nierówności z wartością bezwzględną. Pamiętaj dodatkowo, że promień musi być większy od 0
Zapisując rozwiązanie w postaci przedziału otrzymasz:
Ćwiczenie B.
11Ćwiczenie C.
12Zadanie 1.
14Zadanie 2.
14Zadanie 6.
14Zadanie 9.
15Zadanie 10.
15Zadanie 12.
15Zadanie 13.
15Zadanie 14.
15Zadanie 16.
15Zadanie 17.
15Ćwiczenie A.
17Ćwiczenie B.
17Przykład 2.
19Zadanie 1.
20Zadanie 2.
20Zadanie 4.
20Zadanie 5.
20Zadanie 7.
20Zadanie 8.
20Zadanie 9.
21Zadanie 10.
21Zadanie 11.
21Zadanie 14.
21Zadanie 15.
21Zadanie 16.
21Zadanie 17.
22Zadanie 1.
26Zadanie 3.
26Zadanie 4.
27Zadanie 6.
27Zadanie 7.
27Zadanie 8.
27Zadanie 9.
27Zadanie 12.
27Ćwiczenie B.
29Zadanie 1.
30Zadanie 3.
30Zadanie 4.
30Zadanie 5.
30Zadanie 6.
30Zadanie 8.
31Zadanie 10.
31Zadanie 11.
31Zadanie 1.
35Zadanie 2.
35Zadanie 4.
36Zadanie 5.
36Zadanie 6.
36Zadanie 7.
36Zadanie 8.
36Zadanie 11.
36Zadanie 12.
36Zadanie 14.
37Zadanie 1.
38Zadanie 11.
38Zadanie 12.
38