W tym zadaniu musisz wyznaczyć równanie okręgu będącego w symetrii względem prostej o równaniu x = 3 do okręgu zadanego równaniem (x + 2)2 + (y – 5)2 = 5.
Okrąg symetryczny do podanego okręgu będzie miał taki sam promień jak podany okrąg, a współrzędne środka tego okręgu będą symetryczne do współrzędnych środka okręgu pierwotnego.
r2 = 5
S = (-2, 5)
Środek odcinka łączącego S i S’ należy do prostej będącej osią symetrii:
Ponieważ prosta x = 3 jest równoległa do osi x, a odcinek SS’ jest prostopadły do tej prostej, to odcinek ten jest równoległy do osi y, więc:
Okrąg symetryczny do podanego okręgu będzie miał taki sam promień jak podany okrąg, a współrzędne środka tego okręgu będą symetryczne do współrzędnych środka okręgu pierwotnego.
W pierwszej kolejności musisz odczytać środek podanego okręgu oraz jego promień. Jeśli chodzi o promień, to wystarczy znać jego kwadrat, gdyż w równaniu okręgu symetrycznego będzie potrzebny kwadrat promienia. W tym przypadku wynosi on 5. Z kolei odczytując współrzędne środka tego okręgu otrzymasz punkt (-2, 5) (pamiętaj, że odczytując współrzędne z równania okręgu musisz zmienić ich znak na przeciwny, względem tego co widzisz w równaniu)
Jeśli S’ jest symetryczny do S względem prostej x = 3, to środek odcinka SS’ leży na tej prostej. Wszystkie punkty na tej prostej mają pierwszą współrzędną wynoszącą 3. Oznacza to, że ten środek odcinka można zapisać:
Ponieważ prosta x = 3 jest równoległa do osi x, a odcinek SS’ jest prostopadły do tej prostej, to odcinek ten jest równoległy do osi y. Oznacza to, że druga współrzędna punktu S’ jest taka sama jak S:
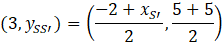
Teraz musisz zapisać ze wzoru współrzędne środka odcinka łączącego punkty S i S’ oraz podstawić znane współrzędne SSS’:
Potrzebujesz jedynie obliczyć pierwszą współrzędną, więc przyrównaj pierwsze współrzędne do siebie:
Równanie okręgu symetrycznego możesz więc zapisać jako:
Ćwiczenie B.
11Ćwiczenie C.
12Zadanie 1.
14Zadanie 2.
14Zadanie 6.
14Zadanie 9.
15Zadanie 10.
15Zadanie 12.
15Zadanie 13.
15Zadanie 14.
15Zadanie 16.
15Zadanie 17.
15Ćwiczenie A.
17Ćwiczenie B.
17Przykład 2.
19Zadanie 1.
20Zadanie 2.
20Zadanie 4.
20Zadanie 5.
20Zadanie 7.
20Zadanie 8.
20Zadanie 9.
21Zadanie 10.
21Zadanie 11.
21Zadanie 14.
21Zadanie 15.
21Zadanie 16.
21Zadanie 17.
22Zadanie 1.
26Zadanie 3.
26Zadanie 4.
27Zadanie 6.
27Zadanie 7.
27Zadanie 8.
27Zadanie 9.
27Zadanie 12.
27Ćwiczenie B.
29Zadanie 1.
30Zadanie 3.
30Zadanie 4.
30Zadanie 5.
30Zadanie 6.
30Zadanie 8.
31Zadanie 10.
31Zadanie 11.
31Zadanie 1.
35Zadanie 2.
35Zadanie 4.
36Zadanie 5.
36Zadanie 6.
36Zadanie 7.
36Zadanie 8.
36Zadanie 11.
36Zadanie 12.
36Zadanie 14.
37Zadanie 1.
38Zadanie 11.
38Zadanie 12.
38