W tym zadaniu trzeba określić jakie równanie ma prosta z którą parabola zadana równaniem y = x2 – 2 jest styczna w jednym punkcie oraz ta prosta jest równoległa do prostej opisanej równaniem y = 2x + 3.
k – szukana prosta
Ponieważ prosta ma mieć tylko jeden punkt wspólny z tą parabolą, więc powyższe równanie musi mieć jedno rozwiązanie. Ponieważ jest to równanie kwadratowe, to jedno rozwiązanie ma wtedy i tylko wtedy, gdy:
Prosta równoległa do podanej prostej będzie miała taki sam współczynnik kierunkowy, czyli 2. Więc równanie szukanej prostej możesz zapisać jako:
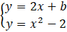
Współrzędne punktów przecięcia się tej prostej z parabolą będą spełniać układ równań składający się z równań prostej i paraboli. Mają być to punkty, które jednocześnie należą do tej prostej i paraboli, więc muszą spełniać równania je opisujące na raz.
Zauważ, że w obu równaniach po jednej stronie, znajduje się sam y. Więc możesz po prostu przyrównać do siebie strony równań, które nie zawierają y.
Przenieś wszystkie składniki na jedną stronę:
Zauważ, że otrzymałeś równanie kwadratowe ze względu na x. Równanie to powinno mieć tylko jedno rozwiązanie (jedną wartość x będącego pierwszą współrzędną punktu styczności). Równanie kwadratowe ma jedno rozwiązanie tylko wtedy, gdy Δ = 0. Więc musisz obliczyć Δ i przyrównać ją do zera.
Znając wartość tego współczynnika możesz podać równanie szukanej prostej.
Ćwiczenie B.
11Ćwiczenie C.
12Zadanie 1.
14Zadanie 2.
14Zadanie 6.
14Zadanie 9.
15Zadanie 10.
15Zadanie 12.
15Zadanie 13.
15Zadanie 14.
15Zadanie 16.
15Zadanie 17.
15Ćwiczenie A.
17Ćwiczenie B.
17Przykład 2.
19Zadanie 1.
20Zadanie 2.
20Zadanie 4.
20Zadanie 5.
20Zadanie 7.
20Zadanie 8.
20Zadanie 9.
21Zadanie 10.
21Zadanie 11.
21Zadanie 14.
21Zadanie 15.
21Zadanie 16.
21Zadanie 17.
22Zadanie 1.
26Zadanie 3.
26Zadanie 4.
27Zadanie 6.
27Zadanie 7.
27Zadanie 8.
27Zadanie 9.
27Zadanie 12.
27Ćwiczenie B.
29Zadanie 1.
30Zadanie 3.
30Zadanie 4.
30Zadanie 5.
30Zadanie 6.
30Zadanie 8.
31Zadanie 10.
31Zadanie 11.
31Zadanie 1.
35Zadanie 2.
35Zadanie 4.
36Zadanie 5.
36Zadanie 6.
36Zadanie 7.
36Zadanie 8.
36Zadanie 11.
36Zadanie 12.
36Zadanie 14.
37Zadanie 1.
38Zadanie 11.
38Zadanie 12.
38