W tym zadaniu musisz ustalić jakie współrzędne mają punkty przecięcia się prostej -2x + 5y – 10 = 0 z osiami OX i OY, a następnie masz narysować tę prostą.
A więc:
A więc:
Zauważ, że wszystkie punkty leżące na osi OX mają drugą współrzędną wynoszącą 0, zaś wszystkie punkty leżące na osi OY – mają pierwszą współrzędną równą 0. Więc punkt przecięcia się z osią OX możesz zapisać jako:
Zaś punkt przecięcia się z osią OY jako:
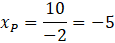
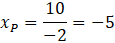
Aby wyznaczyć POX wystarczy, że do równania prostej podstawisz y = 0 (gdyż druga współrzędna punktu „odpowiada” za y w równaniu prostej)
A więc:
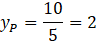
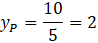
Analogicznie postępujesz przy wyznaczaniu punktu POY. Podstawiasz do równania prostej x = 0 (gdyż pierwsza współrzędna punktu „odpowiada” za x w równaniu prostej)
A więc:
Aby narysować tę prostą wystarczy, że zaznaczysz otrzymane punkty w układzie współrzędnych i przeprowadzisz przez nie prostą.
Ćwiczenie B.
11Ćwiczenie C.
12Zadanie 1.
14Zadanie 2.
14Zadanie 6.
14Zadanie 9.
15Zadanie 10.
15Zadanie 12.
15Zadanie 13.
15Zadanie 14.
15Zadanie 16.
15Zadanie 17.
15Ćwiczenie A.
17Ćwiczenie B.
17Przykład 2.
19Zadanie 1.
20Zadanie 2.
20Zadanie 4.
20Zadanie 5.
20Zadanie 7.
20Zadanie 8.
20Zadanie 9.
21Zadanie 10.
21Zadanie 11.
21Zadanie 14.
21Zadanie 15.
21Zadanie 16.
21Zadanie 17.
22Zadanie 1.
26Zadanie 3.
26Zadanie 4.
27Zadanie 6.
27Zadanie 7.
27Zadanie 8.
27Zadanie 9.
27Zadanie 12.
27Ćwiczenie B.
29Zadanie 1.
30Zadanie 3.
30Zadanie 4.
30Zadanie 5.
30Zadanie 6.
30Zadanie 8.
31Zadanie 10.
31Zadanie 11.
31Zadanie 1.
35Zadanie 2.
35Zadanie 4.
36Zadanie 5.
36Zadanie 6.
36Zadanie 7.
36Zadanie 8.
36Zadanie 11.
36Zadanie 12.
36Zadanie 14.
37Zadanie 1.
38Zadanie 11.
38Zadanie 12.
38