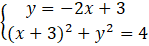
W tym zadaniu trzeba ustalić jakie współrzędne mają punkty wspólne prostej zadanej równaniem
Prosta nie ma punktów wspólnych z okręgiem.
Współrzędne punktów wspólnych podanej prostej z okręgiem będą spełniać układ równań składający się z równań podanej prostej i okręgu. Mają być to punkty, które jednocześnie należą do tej prostej i okręgu, więc muszą spełniać równania je opisujące na raz.
Zauważ, że z równania prostej masz od razu wyznaczoną zmienną y w zależności od x. Aby uzyskać równanie z jedną zmienną wystarczy, że do równania okręgu za y podstawisz równanie prostej.
Aby zastosować wzór skróconego mnożenia do drugiego nawiasu musisz zamienić kolejność składników wewnątrz niego.
A następnie uprość wyrażenie i przenieś wszystkie składniki na jedną stronę.
Otrzymałeś równanie kwadratowe, które musisz rozwiązać przy użyciu Δ.
Więc to równanie nie ma rozwiązań, czyli wyjściowy układ równań nie ma rozwiązań, co za tym idzie ta prosta nie ma punktów wspólnych z tym okręgiem.
Ćwiczenie B.
11Ćwiczenie C.
12Zadanie 1.
14Zadanie 2.
14Zadanie 6.
14Zadanie 9.
15Zadanie 10.
15Zadanie 12.
15Zadanie 13.
15Zadanie 14.
15Zadanie 16.
15Zadanie 17.
15Ćwiczenie A.
17Ćwiczenie B.
17Przykład 2.
19Zadanie 1.
20Zadanie 2.
20Zadanie 4.
20Zadanie 5.
20Zadanie 7.
20Zadanie 8.
20Zadanie 9.
21Zadanie 10.
21Zadanie 11.
21Zadanie 14.
21Zadanie 15.
21Zadanie 16.
21Zadanie 17.
22Zadanie 1.
26Zadanie 3.
26Zadanie 4.
27Zadanie 6.
27Zadanie 7.
27Zadanie 8.
27Zadanie 9.
27Zadanie 12.
27Ćwiczenie B.
29Zadanie 1.
30Zadanie 3.
30Zadanie 4.
30Zadanie 5.
30Zadanie 6.
30Zadanie 8.
31Zadanie 10.
31Zadanie 11.
31Zadanie 1.
35Zadanie 2.
35Zadanie 4.
36Zadanie 5.
36Zadanie 6.
36Zadanie 7.
36Zadanie 8.
36Zadanie 11.
36Zadanie 12.
36Zadanie 14.
37Zadanie 1.
38Zadanie 11.
38Zadanie 12.
38