W tym zadaniu musisz wyliczyć jak długi jest promień okręgu, którego styczną jest prosta zadana równaniem
Punkt styczności należy zależy do okręgu, jak i do prostej. Skoro należy do okręgu, to jego odległość od środka okręgu do promień. Natomiast skoro należy do prostej, to odległość środka okręgu od tej prostej to szukany promień.
Prosta styczna do okręgu ma dokładnie jeden punkt wspólny z danym okręgiem. Punkt ten leży oczywiście na tym okręgu. Okrąg to zbiór punktów jednakowo odległych od środka tego okręgu. Więc jeśli wiesz, że dany punkt leży na okręgu, to oznacza, że jego odległość od środka tego okręgu to długość promienia.
Skoro punkt styczności należy zależy do okręgu, jak i do prostej, to długość promienia, to po prostu odległość środka okręgu od prostej która jest styczna do danego okręgu.
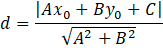
Aby obliczyć odległość środka S od podane prostej musisz skorzystać ze wzoru na odległość punktu o współrzędnych (x0, y0) od prostej o równaniu Ax + By + C = 0. Wzór ten to:
Jednakże prosta która jest podana w zadaniu jest w postaci kierunkowej, więc musisz zamienić jej równanie na postać ogólną.
Spójrz, jak wygląda postać ogólna równania prostej. Po jednej stronie równania jest 0, zaś po drugie wyrażenia z x, y oraz wyraz wolny. Więc aby sprowadzić podane równania do postaci ogólnej musisz przenieść wszystkie składniki na jedną stronę. Dobrze jest także pozbyć się ewentualnych ułamków, przez przemnożenie obu stron przez ich mianowniki.
Teraz wystarczy, że odczytasz poszczególne współczynniki z równania, i podstawisz je do wzoru, razem z współrzędnymi punktu A.
Oczywiście, ponieważ w mianowniku pojawił się pierwiastek, musisz usunąć niewymierność z mianownika, przez przemnożenie zarówno licznika jak i mianownika przez ten pierwiastek.
Ćwiczenie B.
11Ćwiczenie C.
12Zadanie 1.
14Zadanie 2.
14Zadanie 6.
14Zadanie 9.
15Zadanie 10.
15Zadanie 12.
15Zadanie 13.
15Zadanie 14.
15Zadanie 16.
15Zadanie 17.
15Ćwiczenie A.
17Ćwiczenie B.
17Przykład 2.
19Zadanie 1.
20Zadanie 2.
20Zadanie 4.
20Zadanie 5.
20Zadanie 7.
20Zadanie 8.
20Zadanie 9.
21Zadanie 10.
21Zadanie 11.
21Zadanie 14.
21Zadanie 15.
21Zadanie 16.
21Zadanie 17.
22Zadanie 1.
26Zadanie 3.
26Zadanie 4.
27Zadanie 6.
27Zadanie 7.
27Zadanie 8.
27Zadanie 9.
27Zadanie 12.
27Ćwiczenie B.
29Zadanie 1.
30Zadanie 3.
30Zadanie 4.
30Zadanie 5.
30Zadanie 6.
30Zadanie 8.
31Zadanie 10.
31Zadanie 11.
31Zadanie 1.
35Zadanie 2.
35Zadanie 4.
36Zadanie 5.
36Zadanie 6.
36Zadanie 7.
36Zadanie 8.
36Zadanie 11.
36Zadanie 12.
36Zadanie 14.
37Zadanie 1.
38Zadanie 11.
38Zadanie 12.
38