W tym zadaniu musisz ustalić jakie równania w postaci kierunkowej mają dwie proste z których jedna jest równoległa, a druga prostopadła do prostej 3x – 7y + 5 = 0, oraz obie proste przechodzą przez początek układu współrzędnych.
Proste które przechodzą przez początek układu równań są postaci:
Gdyż dla x = 0 powinny dawać y = 0.
Prosta z zadania:
Współczynnik kierunkowy prostej równoległej:
Współczynnik kierunkowy prostej prostopadłej:
Równanie kierunkowej prostej prostopadłej:
Zauważ, jakie własności mają proste które przechodzą przez początek układu współrzędnych. Do takich prostych oczywiście należy punkt (0, 0) (czyli właśnie początek układu współrzędnych). Jeśli szukana prosta przechodzi przez punkt (0, 0) to po podstawieniu do równania tej prostej x = 0 oraz y = 0 powinieneś otrzymać prawdziwą zależność.
Równanie kierunkowe prostej przechodzącej przez początek układu współrzędnych możesz zapisać jako:
Po podstawieniu x = 0 oraz y = 0 (na podstawie tego co wyżej napisano) otrzymasz:
A więc wyraz wolny w takich prostych wynosi 0, a więc każdą prostą przechodzącą przez początek układu współrzędnych możesz zapisać w postaci kierunkowej jako:
Oznacza to, że musisz wyznaczyć jedynie współczynniki kierunkowe szukanych prostych.
Aby wyznaczyć szukane współczynniki kierunkowe musisz znać współczynnik kierunkowy prostej z zadania. Aby go wyznaczyć musisz zapisać podane równanie w postaci kierunkowej.
Spójrz, jak wygląda postać kierunkowa równania prostej. Po jednej stronie równania jest zawsze y, zaś po drugiej wyrażenie z x i wyraz wolny. Oczywiście współczynnik stojący przy x może wynosić 0, wtedy nie zapisuje się go i po drugiej stronie stoi jedynie wyraz wolny. Więc aby zapisać równanie w postaci kierunkowej musisz przenieść y na jedną stronę tak by był jedynym wyrażeniem z tej strony, a następnie ewentualnie pozbyć się liczby stojącej przy y.
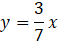
A więc współczynnik kierunkowy prostej z zadania wynosi
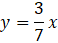
Prosta równoległa powinna mieć współczynnik kierunkowy taki sam jak prosta z treści zadania, a więc
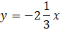
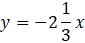
Współczynnik kierunkowy prostej prostopadłej powinien razem z współczynnikiem kierunkowym prostej wzorcowej spełniać warunek:
Gdy podstawisz za któreś a współczynnik kierunkowy prostej wzorcowej otrzymasz poszukiwany współczynnik:
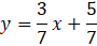
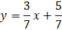
Więc równanie kierunkowej prostej prostopadłej do prostej z treści zadania:
Ćwiczenie B.
11Ćwiczenie C.
12Zadanie 1.
14Zadanie 2.
14Zadanie 6.
14Zadanie 9.
15Zadanie 10.
15Zadanie 12.
15Zadanie 13.
15Zadanie 14.
15Zadanie 16.
15Zadanie 17.
15Ćwiczenie A.
17Ćwiczenie B.
17Przykład 2.
19Zadanie 1.
20Zadanie 2.
20Zadanie 4.
20Zadanie 5.
20Zadanie 7.
20Zadanie 8.
20Zadanie 9.
21Zadanie 10.
21Zadanie 11.
21Zadanie 14.
21Zadanie 15.
21Zadanie 16.
21Zadanie 17.
22Zadanie 1.
26Zadanie 3.
26Zadanie 4.
27Zadanie 6.
27Zadanie 7.
27Zadanie 8.
27Zadanie 9.
27Zadanie 12.
27Ćwiczenie B.
29Zadanie 1.
30Zadanie 3.
30Zadanie 4.
30Zadanie 5.
30Zadanie 6.
30Zadanie 8.
31Zadanie 10.
31Zadanie 11.
31Zadanie 1.
35Zadanie 2.
35Zadanie 4.
36Zadanie 5.
36Zadanie 6.
36Zadanie 7.
36Zadanie 8.
36Zadanie 11.
36Zadanie 12.
36Zadanie 14.
37Zadanie 1.
38Zadanie 11.
38Zadanie 12.
38