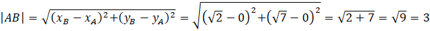
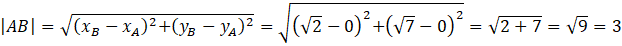
W tym zadaniu trzeba sprawdzić, czy trójkąt o wierzchołkach
|AB| = |AC|, więc trójkąt ABC jest równoramienny
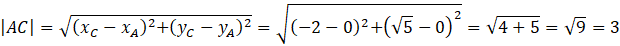
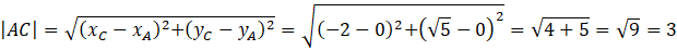
Aby sprawdzić, czy trójkąt jest równoramienny musisz obliczyć długości boków trójkąta. Jeśli znajdziesz parę boków tej samej długości, to trójkąt jest równoramienny. Aby to zrobić skorzystaj ze wzoru na długość odcinka łączącego dwa punkty. Warto abyś sprawdzanie zaczął od tych boków, przy których obliczenia nie będą skomplikowane. Ponieważ współrzędne punktu A zawierają same 0, to sprawdzanie zacznij od odcinków wychodzących z tego punktu.
|AB| = |AC|, więc trójkąt ABC jest równoramienny
Ćwiczenie B.
11Ćwiczenie C.
12Zadanie 1.
14Zadanie 2.
14Zadanie 6.
14Zadanie 9.
15Zadanie 10.
15Zadanie 12.
15Zadanie 13.
15Zadanie 14.
15Zadanie 16.
15Zadanie 17.
15Ćwiczenie A.
17Ćwiczenie B.
17Przykład 2.
19Zadanie 1.
20Zadanie 2.
20Zadanie 4.
20Zadanie 5.
20Zadanie 7.
20Zadanie 8.
20Zadanie 9.
21Zadanie 10.
21Zadanie 11.
21Zadanie 14.
21Zadanie 15.
21Zadanie 16.
21Zadanie 17.
22Zadanie 1.
26Zadanie 3.
26Zadanie 4.
27Zadanie 6.
27Zadanie 7.
27Zadanie 8.
27Zadanie 9.
27Zadanie 12.
27Ćwiczenie B.
29Zadanie 1.
30Zadanie 3.
30Zadanie 4.
30Zadanie 5.
30Zadanie 6.
30Zadanie 8.
31Zadanie 10.
31Zadanie 11.
31Zadanie 1.
35Zadanie 2.
35Zadanie 4.
36Zadanie 5.
36Zadanie 6.
36Zadanie 7.
36Zadanie 8.
36Zadanie 11.
36Zadanie 12.
36Zadanie 14.
37Zadanie 1.
38Zadanie 11.
38Zadanie 12.
38