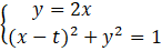
W tym zadaniu trzeba ustalić dla jakiej wartości t pierwszej współrzędnej środka (t, 0) okręgu o promieniu 1, prosta będzie miała przynajmniej jeden wspólny punkt z tym okręgiem.
Okrąg o środku w punkcie (t, 0) i promieniu 1 ma równanie w postaci:
Ponieważ prosta ma przynajmniej jeden punkt wspólny tym okręgiem, więc powyższe równanie ma co najmniej jedno rozwiązanie. Ponieważ jest to równanie kwadratowe, to ma co najmniej jedno rozwiązanie wtedy i tylko wtedy, gdy:
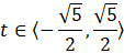
Rozważany okrąg ma przynajmniej jeden punkt wspólny z podaną prostą dla
Okrąg o środku w punkcie (t, 0) i promieniu 1 ma równanie w postaci:
Jeśli okrąg taki ma przynajmniej jeden punkt wspólny z rozważaną prostą to układ równań złożony z równań okręgu i prostej będzie miał przynajmniej jedno rozwiązanie.
Zauważ, że z równania prostej masz od razu wyznaczoną zmienną y w zależności od x. Aby uzyskać równanie z jedną zmienną wystarczy, że do równania okręgu za y podstawisz równanie prostej.
Wyrażenie z nawiasu oblicz przy użyciu wzoru skróconego mnożenia.
A następnie uprość wyrażenie i przenieś wszystkie składniki na jedną stronę. Warto także zapisać to jako równanie ze względu na x, a więc uporządkuj je tak, by wszystkie składniki z x były obok siebie.
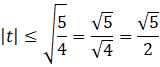
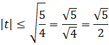
Zauważ, że otrzymałeś równanie kwadratowe ze względu na x. Równanie to powinno mieć przynajmniej jedno rozwiązanie. Równanie kwadratowe ma co najmniej jedno rozwiązanie tylko wtedy, gdy Δ ≥ 0. Więc musisz obliczyć Δ i rozwiązać nierówność z otrzymanym wyrażeniem.
Pierwiastek z kwadratu pewnej liczby to wartość bezwzględna tej liczby. Dostajesz więc nierówność z wartością bezwzględną.
Oczywiście musisz rozbić tę nierówność na dwie nierówności zgodnie z zasadami dotyczącymi nierówności z wartością bezwzględną.
Zapisując rozwiązanie w postaci przedziału otrzymasz:
Ćwiczenie B.
11Ćwiczenie C.
12Zadanie 1.
14Zadanie 2.
14Zadanie 6.
14Zadanie 9.
15Zadanie 10.
15Zadanie 12.
15Zadanie 13.
15Zadanie 14.
15Zadanie 16.
15Zadanie 17.
15Ćwiczenie A.
17Ćwiczenie B.
17Przykład 2.
19Zadanie 1.
20Zadanie 2.
20Zadanie 4.
20Zadanie 5.
20Zadanie 7.
20Zadanie 8.
20Zadanie 9.
21Zadanie 10.
21Zadanie 11.
21Zadanie 14.
21Zadanie 15.
21Zadanie 16.
21Zadanie 17.
22Zadanie 1.
26Zadanie 3.
26Zadanie 4.
27Zadanie 6.
27Zadanie 7.
27Zadanie 8.
27Zadanie 9.
27Zadanie 12.
27Ćwiczenie B.
29Zadanie 1.
30Zadanie 3.
30Zadanie 4.
30Zadanie 5.
30Zadanie 6.
30Zadanie 8.
31Zadanie 10.
31Zadanie 11.
31Zadanie 1.
35Zadanie 2.
35Zadanie 4.
36Zadanie 5.
36Zadanie 6.
36Zadanie 7.
36Zadanie 8.
36Zadanie 11.
36Zadanie 12.
36Zadanie 14.
37Zadanie 1.
38Zadanie 11.
38Zadanie 12.
38