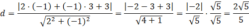
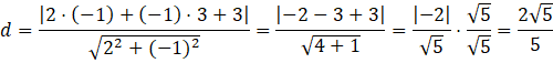
W tym zadaniu musisz wyliczyć w jakiej odległości punkt A = (1, 3) znajduje się od prostej zadanej równaniem 2x – y + 3 =0.
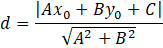
Aby obliczyć odległość punktu A od podanej prostej musisz skorzystać ze wzoru na odległość punktu o współrzędnych (x0, y0) od prostej o równaniu Ax + By + C = 0. Wzór ten to:
Musisz odczytać z równania prostej współczynniki A, B i C oraz podstawić współrzędne punktu A.
Oczywiście, ponieważ w mianowniku pojawił się pierwiastek, musisz usunąć niewymierność z mianownika, przez przemnożenie zarówno licznika jak i mianownika przez ten pierwiastek.
Ćwiczenie B.
11Ćwiczenie C.
12Zadanie 1.
14Zadanie 2.
14Zadanie 6.
14Zadanie 9.
15Zadanie 10.
15Zadanie 12.
15Zadanie 13.
15Zadanie 14.
15Zadanie 16.
15Zadanie 17.
15Ćwiczenie A.
17Ćwiczenie B.
17Przykład 2.
19Zadanie 1.
20Zadanie 2.
20Zadanie 4.
20Zadanie 5.
20Zadanie 7.
20Zadanie 8.
20Zadanie 9.
21Zadanie 10.
21Zadanie 11.
21Zadanie 14.
21Zadanie 15.
21Zadanie 16.
21Zadanie 17.
22Zadanie 1.
26Zadanie 3.
26Zadanie 4.
27Zadanie 6.
27Zadanie 7.
27Zadanie 8.
27Zadanie 9.
27Zadanie 12.
27Ćwiczenie B.
29Zadanie 1.
30Zadanie 3.
30Zadanie 4.
30Zadanie 5.
30Zadanie 6.
30Zadanie 8.
31Zadanie 10.
31Zadanie 11.
31Zadanie 1.
35Zadanie 2.
35Zadanie 4.
36Zadanie 5.
36Zadanie 6.
36Zadanie 7.
36Zadanie 8.
36Zadanie 11.
36Zadanie 12.
36Zadanie 14.
37Zadanie 1.
38Zadanie 11.
38Zadanie 12.
38