Podaj, ile każdego ze składników potrzeba do 160 kg stopu, jeśli wiemy, że do otrzymania brązu musimy wziąć miedź, cynę i ołów w stosunku: 17 : 2 : 1.
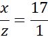
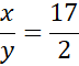
miedź : x
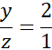
cyna: y
ołów: z
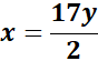
2x = 17y
x = 17z
y = 2z
x + y + z = 160
17z + 2z + z = 160
20z = 160 /: 20
z = 8 kg
y = 16kg
x = 136 kg
Odp.: Należy wziąć 136 kg miedzi, 16 kg cyny i 8 kg ołowiu.
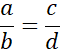
Aby prawidłowo obliczyć musisz utworzyć odpowiednie proporcje i metodą podstawiania dojść do wyniku. W proporcji możemy zastosować tzw. mnożenie na krzyż:
ad = bc
Zadanie 1.
70Zadanie 2.
71Zadanie 3.
71Zadanie 4.
71Zadanie 6.
72Zadanie 8.
72Zadanie 1.
74Zadanie 2.
75Zadanie 5.
75Zadanie 6.
75Zadanie 10.
76Zadanie 12.
77Zadanie 2.
80Zadanie 3.
80Zadanie 4.
80Zadanie 7.
80Zadanie 8.
80Zadanie 9.
80Zadanie 10.
80Zadanie 12.
81Zadanie 13.
81Zadanie 14.
81Zadanie 15.
81Zadanie 17.
81Zadanie 18.
82Zadanie 19.
82Zadanie 20.
82Zadanie 21.
82Zadanie 4.
85Zadanie 20.
88Zadanie 21.
88Zadanie 22.
88Ćwiczenie 5.
92Ćwiczenie 9.
92Ćwiczenie 10.
92