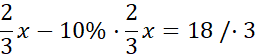
Oblicz liczbę uczniów w klasie, jeśli wiesz, że na wycieczkę pojechało 18 uczniów i było to o 10% uczniów mniej niż się zapisało, a zapisało się dwie trzecie klasy.
x – ilość uczniów w klasie
2x – 0,1 · 2x = 54
1,8x = 54 /: 1,8
x = 30
Odp.: W klasie jest 30 uczniów.
Utwórz odpowiednie równanie. Jako niewiadomą przyjmij liczbę uczniów w klasie.
Zadanie 1.
70Zadanie 2.
71Zadanie 3.
71Zadanie 4.
71Zadanie 6.
72Zadanie 8.
72Zadanie 1.
74Zadanie 2.
75Zadanie 5.
75Zadanie 6.
75Zadanie 10.
76Zadanie 12.
77Zadanie 2.
80Zadanie 3.
80Zadanie 4.
80Zadanie 7.
80Zadanie 8.
80Zadanie 9.
80Zadanie 10.
80Zadanie 12.
81Zadanie 13.
81Zadanie 14.
81Zadanie 15.
81Zadanie 17.
81Zadanie 18.
82Zadanie 19.
82Zadanie 20.
82Zadanie 21.
82Zadanie 4.
85Zadanie 20.
88Zadanie 21.
88Zadanie 22.
88Ćwiczenie 5.
92Ćwiczenie 9.
92Ćwiczenie 10.
92