Oblicz, w ilu łyżkach zmieści się 255 ml wody oraz w ilu szklankach zmieści się 2,04 l wody, wiedząc, że:
1 łyżka – 15 ml,
1 szklanka – 255 ml.
1 łyżka – 15 ml wody
1 szklanka – 255 ml wody
255 ml : 15 ml = 17 łyżek
2,04 l = 2040 ml
Ilość szklanek dla 2040 ml : 255 ml = 8
Odp.: 255 ml wody to 17 łyżek, a 2,04 ml wody to 8 szklanek.
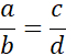
Utwórz odpowiednie proporcje i oblicz. W proporcjach możesz zastosować tzw. Liczenie na krzyż:
ad = bc
Pamiętaj o zamianie jednostek: 1 l = 1000 ml.
Zadanie 1.
70Zadanie 2.
71Zadanie 3.
71Zadanie 4.
71Zadanie 6.
72Zadanie 8.
72Zadanie 1.
74Zadanie 2.
75Zadanie 5.
75Zadanie 6.
75Zadanie 10.
76Zadanie 12.
77Zadanie 2.
80Zadanie 3.
80Zadanie 4.
80Zadanie 7.
80Zadanie 8.
80Zadanie 9.
80Zadanie 10.
80Zadanie 12.
81Zadanie 13.
81Zadanie 14.
81Zadanie 15.
81Zadanie 17.
81Zadanie 18.
82Zadanie 19.
82Zadanie 20.
82Zadanie 21.
82Zadanie 4.
85Zadanie 20.
88Zadanie 21.
88Zadanie 22.
88Ćwiczenie 5.
92Ćwiczenie 9.
92Ćwiczenie 10.
92