Trójkąt prostokątny ma boki, których stosunek długości wynosi 13 : 12 : 5, natomiast jego średni bok jest o 3,5 cm. Dłuższy od krótszego boku.
Obwód tego trójkąta jest równy A / B.
A. 15 cm
B. 30 cm
Pole tego trójkąta jest równe C / D.
C. 15 cm2
D. 7,5 cm²
Obwód tego trójkąta jest równy A / B.
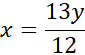
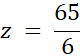
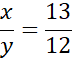
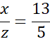
x, y, z – długości boków trójkąta prostokątnego
x + y + z = 15
13y + 12y + 65y = 180
90y = 180 / : 90
y = 2
Odp.: A. 15 cm
a2 + b2 = c2
(2,5)2 + 62 = 6,52
(2,5)2 + 62 = 6,35 + 36 = 42,25
6,52 = 42,25
Odp.: D. 7,5 cm2
Aby sprawdzić, czy trójkąt jest prostokątny skorzystaj z twierdzenia Pitagorasa:
a2 + b2 = c2
Zadanie 1.
70Zadanie 2.
71Zadanie 3.
71Zadanie 4.
71Zadanie 6.
72Zadanie 8.
72Zadanie 1.
74Zadanie 2.
75Zadanie 5.
75Zadanie 6.
75Zadanie 10.
76Zadanie 12.
77Zadanie 2.
80Zadanie 3.
80Zadanie 4.
80Zadanie 7.
80Zadanie 8.
80Zadanie 9.
80Zadanie 10.
80Zadanie 12.
81Zadanie 13.
81Zadanie 14.
81Zadanie 15.
81Zadanie 17.
81Zadanie 18.
82Zadanie 19.
82Zadanie 20.
82Zadanie 21.
82Zadanie 4.
85Zadanie 20.
88Zadanie 21.
88Zadanie 22.
88Ćwiczenie 5.
92Ćwiczenie 9.
92Ćwiczenie 10.
92