Jedna z podstaw trapezu ma długość ( x + 1) dm, a druga jest o 5 cm dłuższa. Jego wysokość jest o 2 cm krótsza od krótszej podstawy. Wybierz zgodnie z prawdą odpowiedzi A lub B oraz C lub D.
Pole tego trapezu w centymetrach kwadratowych, ma postać A / B.
A. 100x2 + 205x + 100
B. x2 + 20,5x + 100
Jeśli obliczenia wykonasz dla x = 1, to pole tego trapezu będzie równe C / D.
C. 121,5 cm2
D. 405 cm2
(10x + 10) cm – długość krótszej podstawy w trapezie
(10x + 15) cm – długość dłuższej podstawy w trapezie
(10x + 8) cm – wysokość trapezu
Odp.: A. 100x2 + 205x + 100
P = (100x2 + 205x + 100) cm2 = (100 + 205 + 100) cm2 = 405 cm2
Odp.: D. 405 cm2
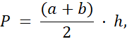
Skorzystaj ze wzoru na pole trapezu:
gdzie a i b to podstawy trapezu, a h to wysokość tego trapezu. Pamiętaj również o zamianie jednostek - 1 dm = 10 cm.
Zadanie 1.
70Zadanie 2.
71Zadanie 3.
71Zadanie 4.
71Zadanie 6.
72Zadanie 8.
72Zadanie 1.
74Zadanie 2.
75Zadanie 5.
75Zadanie 6.
75Zadanie 10.
76Zadanie 12.
77Zadanie 2.
80Zadanie 3.
80Zadanie 4.
80Zadanie 7.
80Zadanie 8.
80Zadanie 9.
80Zadanie 10.
80Zadanie 12.
81Zadanie 13.
81Zadanie 14.
81Zadanie 15.
81Zadanie 17.
81Zadanie 18.
82Zadanie 19.
82Zadanie 20.
82Zadanie 21.
82Zadanie 4.
85Zadanie 20.
88Zadanie 21.
88Zadanie 22.
88Ćwiczenie 5.
92Ćwiczenie 9.
92Ćwiczenie 10.
92