Oblicz wiek mamy za 4 lata, jeśli stosunek wieku bliźniaczek do wieku mamy wynosi 3 : 3 : 14, a bliźniaczki mają razem 12 lat.
x – wiek jednej z bliźniaczek
x + x = 12
2x = 12 / : 2
x = 6
y – wiek mamy
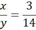
x : y = 3 : 14
28 = y
Odp.: Za 4 lata mama będzie miała y + 4 lat = 32.
Aby prawidłowo obliczyć musisz utworzyć odpowiednie proporcje i równanie.
Zadanie 1.
70Zadanie 2.
71Zadanie 3.
71Zadanie 4.
71Zadanie 6.
72Zadanie 8.
72Zadanie 1.
74Zadanie 2.
75Zadanie 5.
75Zadanie 6.
75Zadanie 10.
76Zadanie 12.
77Zadanie 2.
80Zadanie 3.
80Zadanie 4.
80Zadanie 7.
80Zadanie 8.
80Zadanie 9.
80Zadanie 10.
80Zadanie 12.
81Zadanie 13.
81Zadanie 14.
81Zadanie 15.
81Zadanie 17.
81Zadanie 18.
82Zadanie 19.
82Zadanie 20.
82Zadanie 21.
82Zadanie 4.
85Zadanie 20.
88Zadanie 21.
88Zadanie 22.
88Ćwiczenie 5.
92Ćwiczenie 9.
92Ćwiczenie 10.
92