Sprawdź, która z liczb -5, -4, -3, -2, -1 jest rozwiązaniem równania:
sprawdzamy x = -5, -4, -3, -2, -1
1.
x = -5
L ≠ P
2.
x = -4
L ≠ P
3.
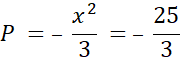
L ≠ P
4.
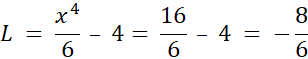
x = -2
L = P
5.
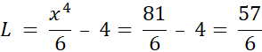
x = -1
L ≠ P
Odp.: To równanie, przy podanych warunkach, spełnia liczba -2.
Aby sprawdzić czy dana liczba należy do rozwiązań konkretnego równania, należy podstawić ją w miejsce zmiennej i obliczyć. jeśli lewa strona równania będzie równa prawej, to liczba ta jest rozwiązaniem tego równania, jeśli nie będzie równa, to liczba nie należy do rozwiązań.
Zadanie 1.
70Zadanie 2.
71Zadanie 3.
71Zadanie 4.
71Zadanie 6.
72Zadanie 8.
72Zadanie 1.
74Zadanie 2.
75Zadanie 5.
75Zadanie 6.
75Zadanie 10.
76Zadanie 12.
77Zadanie 2.
80Zadanie 3.
80Zadanie 4.
80Zadanie 7.
80Zadanie 8.
80Zadanie 9.
80Zadanie 10.
80Zadanie 12.
81Zadanie 13.
81Zadanie 14.
81Zadanie 15.
81Zadanie 17.
81Zadanie 18.
82Zadanie 19.
82Zadanie 20.
82Zadanie 21.
82Zadanie 4.
85Zadanie 20.
88Zadanie 21.
88Zadanie 22.
88Ćwiczenie 5.
92Ćwiczenie 9.
92Ćwiczenie 10.
92