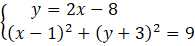
W tym zadaniu trzeba ustalić jakie współrzędne mają punkty przecięcia się prostej zadanej równaniem y = 2x – 8 z okręgiem opisanym równaniem (x – 1)2 + (y + 3)2 = 9.
Punkty przecięcia się prostej z okręgiem to:
Współrzędne punktów przecięcia się podanej prostej z okręgiem będą spełniać układ równań składający się z równań podanej prostej i okręgu. Mają być to punkty, które jednocześnie należą do tej prostej i okręgu, więc muszą spełniać równania je opisujące na raz.
Zauważ, że z równania prostej masz od razu wyznaczoną zmienną y w zależności od x. Aby uzyskać równanie z jedną zmienną wystarczy, że do równania okręgu za y podstawisz równanie prostej.
Korzystając ze wzorów skróconego mnożenia, podnieś nawiasy do kwadratu.
A następnie uprość wyrażenie i przenieś wszystkie składniki na jedną stronę.
Otrzymałeś równanie kwadratowe, które musisz rozwiązać przy użyciu Δ.
Teraz aby otrzymać drugie współrzędne tych punktów musisz podstawić otrzymane liczby do któregokolwiek równania. Oczywiście łatwiej jest wyliczyć y z równania prostej.
Więc punkty, w których prosta opisana w treści przecina się z okręgiem to:
Ćwiczenie B.
11Ćwiczenie C.
12Zadanie 1.
14Zadanie 2.
14Zadanie 6.
14Zadanie 9.
15Zadanie 10.
15Zadanie 12.
15Zadanie 13.
15Zadanie 14.
15Zadanie 16.
15Zadanie 17.
15Ćwiczenie A.
17Ćwiczenie B.
17Przykład 2.
19Zadanie 1.
20Zadanie 2.
20Zadanie 4.
20Zadanie 5.
20Zadanie 7.
20Zadanie 8.
20Zadanie 9.
21Zadanie 10.
21Zadanie 11.
21Zadanie 14.
21Zadanie 15.
21Zadanie 16.
21Zadanie 17.
22Zadanie 1.
26Zadanie 3.
26Zadanie 4.
27Zadanie 6.
27Zadanie 7.
27Zadanie 8.
27Zadanie 9.
27Zadanie 12.
27Ćwiczenie B.
29Zadanie 1.
30Zadanie 3.
30Zadanie 4.
30Zadanie 5.
30Zadanie 6.
30Zadanie 8.
31Zadanie 10.
31Zadanie 11.
31Zadanie 1.
35Zadanie 2.
35Zadanie 4.
36Zadanie 5.
36Zadanie 6.
36Zadanie 7.
36Zadanie 8.
36Zadanie 11.
36Zadanie 12.
36Zadanie 14.
37Zadanie 1.
38Zadanie 11.
38Zadanie 12.
38