W tym zadaniu musisz wyliczyć długość środkowej wyprowadzonej z wierzchołka A, jeśli punkty A = (-3, 2), B = (-1, 5), C = (4, -3) są wierzchołkami trójkąta.
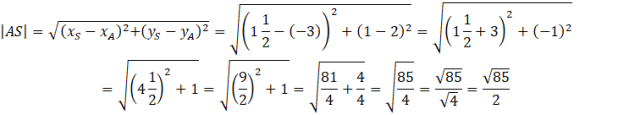
Długość środkowej wynosi
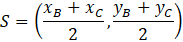
Przypomnij sobie definicję środkowej w trójkącie. Jest to odcinek łączący wierzchołek ze środkiem przeciwległego boku. W przypadku omawianym w treści zadania będzie to odcinek łączący punkt A ze środkiem odcinka BC. Współrzędne punktu A są podane, więc musisz wyliczyć współrzędne środka odcinka BC.
Skorzystaj ze wzoru na współrzędne środka odcinka łączącego punkty B i C:
Teraz musisz obliczyć długość środkowej, czyli odcinka łączącego punkt A z punktem S.
Ćwiczenie B.
11Ćwiczenie C.
12Zadanie 1.
14Zadanie 2.
14Zadanie 6.
14Zadanie 9.
15Zadanie 10.
15Zadanie 12.
15Zadanie 13.
15Zadanie 14.
15Zadanie 16.
15Zadanie 17.
15Ćwiczenie A.
17Ćwiczenie B.
17Przykład 2.
19Zadanie 1.
20Zadanie 2.
20Zadanie 4.
20Zadanie 5.
20Zadanie 7.
20Zadanie 8.
20Zadanie 9.
21Zadanie 10.
21Zadanie 11.
21Zadanie 14.
21Zadanie 15.
21Zadanie 16.
21Zadanie 17.
22Zadanie 1.
26Zadanie 3.
26Zadanie 4.
27Zadanie 6.
27Zadanie 7.
27Zadanie 8.
27Zadanie 9.
27Zadanie 12.
27Ćwiczenie B.
29Zadanie 1.
30Zadanie 3.
30Zadanie 4.
30Zadanie 5.
30Zadanie 6.
30Zadanie 8.
31Zadanie 10.
31Zadanie 11.
31Zadanie 1.
35Zadanie 2.
35Zadanie 4.
36Zadanie 5.
36Zadanie 6.
36Zadanie 7.
36Zadanie 8.
36Zadanie 11.
36Zadanie 12.
36Zadanie 14.
37Zadanie 1.
38Zadanie 11.
38Zadanie 12.
38