W tym zadaniu musisz wyznaczyć równanie prostej, która jest równoległa do prostej zawierającej punkty K = (4, -5) i L = (-10, 2) oraz przechodzi przez punkt P = (1, -2).
k – szukana prosta
l – prosta przechodząca przez punkty K i L
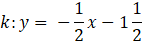
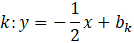
Więc równanie prostej k w postaci kierunkowej można zapisać jako:
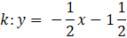
Więc równanie prostej k to:
Niech szukana prosta będzie prostą k, zaś prosta przechodząca przez punkty K i L, będzie prostą l. Te dwie proste są do siebie równoległe, więc współczynnik kierunkowy prostej k będzie wynosił tyle samo, co prostej l.
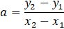
Aby obliczyć współczynnik kierunkowy prostej l skorzystaj z wzoru na współczynnik kierunkowy prostej przechodzącej przez punkty (x1, y1) oraz (x2, y2).
Podstawiając odpowiednio współrzędne K i L otrzymasz wynik:
Pamiętaj, że co prawda kolejność uwzględnianych punktów jest dowolna, ale musi być taka sama dla x-ów i y-ów. Więc jeśli przyjmiesz, że punktem o współrzędnych (x2, y2) jest punkt K, to musisz konsekwentnie podstawiać za y2 i x2 współrzędne punktu K.
Więc równanie prostej k w postaci kierunkowej można zapisać jako:
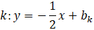
Prosta k przechodzi, przez punkt P, więc podstawiając do równania kierunkowego prostej k za x pierwszą współrzędną P, powinieneś otrzymać w wyniku drugą współrzędną.
Więc równanie prostej k możesz zapisać jako:
Ćwiczenie B.
11Ćwiczenie C.
12Zadanie 1.
14Zadanie 2.
14Zadanie 6.
14Zadanie 9.
15Zadanie 10.
15Zadanie 12.
15Zadanie 13.
15Zadanie 14.
15Zadanie 16.
15Zadanie 17.
15Ćwiczenie A.
17Ćwiczenie B.
17Przykład 2.
19Zadanie 1.
20Zadanie 2.
20Zadanie 4.
20Zadanie 5.
20Zadanie 7.
20Zadanie 8.
20Zadanie 9.
21Zadanie 10.
21Zadanie 11.
21Zadanie 14.
21Zadanie 15.
21Zadanie 16.
21Zadanie 17.
22Zadanie 1.
26Zadanie 3.
26Zadanie 4.
27Zadanie 6.
27Zadanie 7.
27Zadanie 8.
27Zadanie 9.
27Zadanie 12.
27Ćwiczenie B.
29Zadanie 1.
30Zadanie 3.
30Zadanie 4.
30Zadanie 5.
30Zadanie 6.
30Zadanie 8.
31Zadanie 10.
31Zadanie 11.
31Zadanie 1.
35Zadanie 2.
35Zadanie 4.
36Zadanie 5.
36Zadanie 6.
36Zadanie 7.
36Zadanie 8.
36Zadanie 11.
36Zadanie 12.
36Zadanie 14.
37Zadanie 1.
38Zadanie 11.
38Zadanie 12.
38