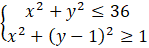
W tym zadaniu musisz w układzie współrzędnych narysować zbiór punktów takich, że ich współrzędne spełniają podane nierówności:
Zbiór będący rozwiązaniem zadania zaznaczony jest kolorem zielonym.
Jeśli punkt o współrzędnych (x, y) należy do koła o promieniu r mającego środek w punkcie (a, b), to współrzędne tego punktu spełniają nierówność: (x – a)2 + (y – b)2≤ r2. Z kolei, jeśli ten punkt nie należy do tego koła, to jego współrzędne spełniają taką samą nierówność, tylko ze znakiem większości.
Oznacza to, że musisz narysować okręgi o środkach (a, b) i promieniach r (informacje te odczytujesz z podanych nierówności), a następnie zaznaczyć w zależności od znaku nierówności obszar wewnątrz tego okręgu (dla znaku mniejszości) lub na zewnątrz tego okręgu (dla znaku większości). Jeśli znak nierówności jest „w wersji” z równością, to wtedy zaznaczasz także sam okrąg (punkty na okręgu spełniają nierówność), w przeciwnym razie okrąg zaznaczasz linią kreskowaną (gdyż wtedy punkty na okręgu nie spełniają nierówności)
Z pierwszego równania możesz odczytać, że okrąg będzie miał środek o współrzędnych (0, 0) oraz promień wynoszący 6. Ponieważ jest znak mniejszości lub równości, to zaznacz obszar wewnątrz okręgu razem z samym okręgiem.
Z drugiego równania możesz odczytać, że okrąg będzie miał środek o współrzędnych (0, 1) oraz promień wynoszący 1. Ponieważ jest znak większości lub równości, to zaznacz obszar na zewnątrz okręgu razem z samym okręgiem.
Klamra łącząca obie nierówności oznacza, że mają być one spełnione jednocześnie. Więc na koniec zaznacz część wspólną obu zaznaczonych obszarów.
Ćwiczenie B.
11Ćwiczenie C.
12Zadanie 1.
14Zadanie 2.
14Zadanie 6.
14Zadanie 9.
15Zadanie 10.
15Zadanie 12.
15Zadanie 13.
15Zadanie 14.
15Zadanie 16.
15Zadanie 17.
15Ćwiczenie A.
17Ćwiczenie B.
17Przykład 2.
19Zadanie 1.
20Zadanie 2.
20Zadanie 4.
20Zadanie 5.
20Zadanie 7.
20Zadanie 8.
20Zadanie 9.
21Zadanie 10.
21Zadanie 11.
21Zadanie 14.
21Zadanie 15.
21Zadanie 16.
21Zadanie 17.
22Zadanie 1.
26Zadanie 3.
26Zadanie 4.
27Zadanie 6.
27Zadanie 7.
27Zadanie 8.
27Zadanie 9.
27Zadanie 12.
27Ćwiczenie B.
29Zadanie 1.
30Zadanie 3.
30Zadanie 4.
30Zadanie 5.
30Zadanie 6.
30Zadanie 8.
31Zadanie 10.
31Zadanie 11.
31Zadanie 1.
35Zadanie 2.
35Zadanie 4.
36Zadanie 5.
36Zadanie 6.
36Zadanie 7.
36Zadanie 8.
36Zadanie 11.
36Zadanie 12.
36Zadanie 14.
37Zadanie 1.
38Zadanie 11.
38Zadanie 12.
38