Skul.pl
  • Opracowania zadań z podręczników
  • Matematyka. Klasa 7. Zeszyt ćwiczeń - rozwiązania i odpowiedzi
  • Zadanie 14.

Matematyka. Klasa 7. Zeszyt ćwiczeń - rozwiązania i odpowiedzi

Zeszyt ćwiczeń, Wydawnictwo: WSiP
Poprzednie

Zadanie 14. - strona 72

Następne

Zadanie

Punkt E leży na boku CD równoległoboku ABCD. Pokaż, że pole trójkąta ABE stanowi połowę pola tego równoległoboku.

Rozwiązanie

Skul

Wyjaśnienie

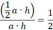
Porównaj stosunki pól:

Poprzednie
Następne

Matematyka - wybrane pytania

Zadanie 1.4., strona 18, Prosto do matury 4. Zakres podstawowy i rozszerzony. Podręcznik - rozwiązania i odpowiedzi
Zadanie 22, strona 95, MATeMAtyka. Klasa 1. Zbiór zadań. Zakres podstawowy – rozwiązania i odpowiedzi
Zadanie 6., strona 106, Matematyka 4. Klasa 4. Zbiór zadań. Zakres rozszerzony - rozwiązania i odpowiedzi
Zadanie 3.36., strona 63, Matematyka 4. Klasa 4. Zbiór zadań. Zakres rozszerzony - rozwiązania i odpowiedzi
Zadanie 6.13., strona 107, Prosto do matury. Matematyka. Klasa 2. Zakres podstawowy. Podręcznik - rozwiązania i odpowiedzi
Zadanie 27, strona 38, Teraz matura. Klasa 4. Zbiór zadań. Poziom podstawowy – rozwiązania i odpowiedzi
Zadanie 8, strona 93, Matematyka. Klasa 6. Podręcznik. Część 1 - rozwiązania i odpowiedzi
Zadanie 20., strona 242, MATeMAtyka 1. Zakres podstawowy i rozszerzony. Zbiór zadań – rozwiązania i odpowiedzi
Zadanie 3.108., strona 93, Matematyka. Klasa 3. Zbiór zadań. Zakres rozszerzony – rozwiązania i odpowiedzi
Zadanie 4.29, strona 39, Matematyka. Prosto do matury. Klasa 1. Zakres podstawowy i rozszerzony. Podręcznik - rozwiązania i odpowiedzi
REKLAMA
Skul
Zadania z tego działu
6. Wielokąty
67
6.1. Kąty w wielokątach
67

Zadanie 1.

67

Zadanie 2.

67

Zadanie 3.

67

Zadanie 4.

67

Zadanie 5.

68

Podpunkt a)

68

Podpunkt b)

68

Podpunkt c)

68

Podpunkt d)

68

Zadanie 6.

68

Podpunkt a)

68

Podpunkt b)

68

Zadanie 7.

68
6.2. Pola wielokątów
69

Zadanie 1.

69

Zadanie 2.

69

Zadanie 3.

69

Podpunkt a)

69

Podpunkt b)

69

Zadanie 4.

69

Podpunkt a)

69

Podpunkt b)

69

Podpunkt c)

69

Podpunkt d)

69

Zadanie 5.

70

Zadanie 6.

70

Zadanie 7.

70

Podpunkt a)

70

Podpunkt b)

70

Zadanie 8.

70

Zadanie 9.

71

Zadanie 10.

71

Podpunkt a)

71

Podpunkt b)

71

Zadanie 11.

71

Zadanie 12.

72

Zadanie 13.

72

Zadanie 14.

72
6.3. Figury w układzie współrzędnych
73

Zadanie 1.

73

Zadanie 2.

73

Zadanie 3.

73

Podpunkt a)

73

Podpunkt b)

73

Podpunkt c)

73

Zadanie 4.

74

Podpunkt a)

74

Podpunkt b)

74

Zadanie 5.

74

Podpunkt a)

74

Podpunkt b)

74

Zadanie 6.

74

Zadanie 7.

75

Zadanie 8.

75

Zadanie 9.

75

Podpunkt a)

75

Podpunkt b)

75

Zadanie 10.

76

Podpunkt a)

76

Podpunkt b)

76

Zadanie 11.

76

Zadanie 12.

76
Pełny spis treści
Skul
Artboard 1
Skul.pl
  • Napisz do nas
  • FAQ
  • Mapa Serwisu
  • Google Play
  • App Store

Korzystanie z portalu oznacza akceptację Regulaminu.
Polityka prywatności. Ustawienia preferencji. Copyright: INTERIA.PL 1999-2023 Wszystkie prawa zastrzeżone.